Online Database of Chemicals from Around the World

3-Hydroxy-3-methyl-4-carboxybutyl-coenzyme A
[CAS 78901-91-4]

Suppliers
CAS#: 78901-91-4
Product: 3-Hydroxy-3-methyl-4-carboxybutyl-coenzyme A
No suppilers available for the product.
Identification
Name 3-Hydroxy-3-methyl-4-carboxybutyl-coenzyme A
Synonyms (3R)-5-[2-[3-[[(2R)-4-[[[(2R,3S,4R,5R)-5-(6-Aminopurin-9-Yl)-4-Hydroxy-3-Phosphonooxy-Tetrahydrofuran-2-Yl]Methoxy-Hydroxy-Phosphoryl]Oxy-Hydroxy-Phosphoryl]Oxy-2-Hydroxy-3,3-Dimethyl-Butanoyl]Amino]Propanoylamino]Ethylsulfanyl]-3-Hydroxy-3-Methyl-Pentanoic Acid; (3R)-5-[2-[[3-[[(2R)-4-[[[(2R,3S,4R,5R)-5-(6-Amino-9-Purinyl)-4-Hydroxy-3-Phosphonooxy-2-Tetrahydrofuranyl]Methoxy-Hydroxyphosphoryl]Oxy-Hydroxyphosphoryl]Oxy-2-Hydroxy-3,3-Dimethyl-1-Oxobutyl]Amino]-1-Oxopropyl]Amino]Ethylthio]-3-Hydroxy-3-Methylpentanoic Acid; (3R)-5-[2-[3-[[(2R)-4-[[[(2R,3S,4R,5R)-5-(6-Aminopurin-9-Yl)-4-Hydroxy-3-Phosphonooxy-Tetrahydrofuran-2-Yl]Methoxy-Hydroxy-Phosphoryl]Oxy-Hydroxy-Phosphoryl]Oxy-2-Hydroxy-3,3-Dimethyl-Butanoyl]Amino]Propanoylamino]Ethylthio]-3-Hydroxy-3-Methyl-Valeric Acid
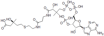
Molecular Structure CAS#: 78901-91-4, 3-Hydroxy-3-methyl-4-carboxybutyl-coenzyme A
Molecular Formula C27H46N7O19P3S
Molecular Weight 897.68
CAS Registry Number 78901-91-4
SMILES [C@H]1(O[C@@H]([C@@H](O[P](=O)(O)O)[C@H]1O)CO[P](O[P](OCC([C@@H](O)C(=O)NCCC(=O)NCCSCC[C@](O)(CC(=O)O)C)(C)C)(=O)O)(=O)O)[N]2C3=C(N=C2)C(=NC=N3)N
InChI 1S/C27H46N7O19P3S/c1-26(2,21(39)24(40)30-6-4-16(35)29-7-9-57-8-5-27(3,41)10-17(36)37)12-50-56(47,48)53-55(45,46)49-11-15-20(52-54(42,43)44)19(38)25(51-15)34-14-33-18-22(28)31-13-32-23(18)34/h13-15,19-21,25,38-39,41H,4-12H2,1-3H3,(H,29,35)(H,30,40)(H,36,37)(H,45,46)(H,47,48)(H2,28,31,32)(H2,42,43,44)/t15-,19-,20-,21+,25-,27+/m1/s1
InChIKey WJVWFKKGYOZUEZ-PQMUVBQJSA-N
Properties
Density 1.835g/cm3 (Cal.)
Market Analysis Reports
Related Products
5-(3-Hydroxy-3-...  2-Hydroxy-3-Met...  2-Hydroxy-2-met...  2-Hydroxy-3-Met...  3-Hydroxy-3-Met...  Hydroxymethylca...  9-Hydroxymethyl...  N-(Hydroxymethy...  1-(Hydroxymethy...  9-Hydroxymethyl...  3-Hydroxy-7-Met...  6-Hydroxy-5-met...  5-Hydroxy-2-met...  4-Hydroxy-3-Met...  4-Hydroxy-7-Met...  8-Hydroxy-5-Met...  7-Hydroxy-6-met...  4-[2-(6-Hydroxy...  7-Hydroxy-2-met...  5-Hydroxymethyl...