Online Database of Chemicals from Around the World

Coriaria Lactone
[CAS 79029-98-4]

Suppliers
CAS#: 79029-98-4
Product: Coriaria Lactone
No suppilers available for the product.
Identification
Name Coriaria Lactone
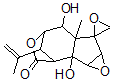
Molecular Structure CAS#: 79029-98-4, Coriaria Lactone
Molecular Formula C15H18O6
Molecular Weight 294.30
CAS Registry Number 79029-98-4
SMILES CC23C5(C1C(O1)C2(C4C(=O)OC(C3O)C4C(=C)C)O)OC5
InChI 1S/C15H18O6/c1-5(2)6-7-12(17)20-8(6)9(16)13(3)14(4-19-14)10-11(21-10)15(7,13)18/h6-11,16,18H,1,4H2,2-3H3
InChIKey CCAZWUJBLXKBAY-UHFFFAOYSA-N
Properties
Density 1.529g/cm3 (Cal.)
Boiling point 550.943°C at 760 mmHg (Cal.)
Flash point 212.575°C (Cal.)
Market Analysis Reports
Related Products
(-)-Corey lacto...  (+/-)-Corey lac...  (+)-Corey lacto...  (+/-)-Corey lac...  (-)-Corey lacto...  Corey PG-lacton...  (+)-Coriamyrtin...  Coriander Extra...  Coriander Oil;C...  Corianin  Coriatin  Corilagin  Coriphosphine;(...  Coriphosphine O...  (+)-Corlumidine...  Corlumine;Corlu...  (-)-Corlumine  Corn gluten mea...  Cornigerine;Nsc...  Cornmint oil