Online Database of Chemicals from Around the World

4-(2-Carboxyethenyl)-3-hydroxy-2-naphthalenecarboxylic acid antimony(3+) sodium salt
[CAS 80049-89-4]

Suppliers
CAS#: 80049-89-4
Product: 4-(2-Carboxyethenyl)-3-hydroxy-2-naphthalenecarboxylic acid antimony(3+) sodium salt
No suppilers available for the product.
Identification
Name 4-(2-Carboxyethenyl)-3-hydroxy-2-naphthalenecarboxylic acid antimony(3+) sodium salt
Synonyms Trisodium; Antimony(+3) Cation; 3-Hydroxy-4-[(E)-3-Oxido-3-Oxo-Prop-1-Enyl]Naphthalene-2-Carboxylate; Trisodium; Antimony(+3) Cation; 3-Hydroxy-4-[(E)-3-Oxido-3-Oxoprop-1-Enyl]-2-Naphthalenecarboxylate
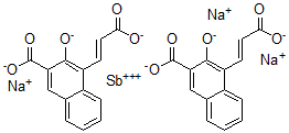
Molecular Structure CAS#: 80049-89-4, 4-(2-Carboxyethenyl)-3-hydroxy-2-naphthalenecarboxylic acid antimony(3+) sodium salt
Molecular Formula C28H16Na3O10Sb
Molecular Weight 703.15
CAS Registry Number 80049-89-4
SMILES C12=CC=CC=C1C=C(C(=C2\C=C\C([O-])=O)O)C([O-])=O.C34=CC=CC=C3C=C(C(=C4\C=C\C([O-])=O)O)C([O-])=O.[Na+].[Na+].[Na+].[Sb+3]
InChI 1S/2C14H10O5.3Na.Sb/c2*15-12(16)6-5-10-9-4-2-1-3-8(9)7-11(13(10)17)14(18)19;;;;/h2*1-7,17H,(H,15,16)(H,18,19);;;;/q;;3*+1;+3/p-4/b2*6-5+;;;;
InChIKey HPMIMVGGIARIAY-ZIXAZJSVSA-J
Properties
Boiling point 512.6°C at 760 mmHg (Cal.)
Flash point 277.9°C (Cal.)
Market Analysis Reports
Related Products
17-((S)-1-Carbo...  6-(2-Carboxy-5-...  9-Carboxy Doxor...  5-endo-Carboxye...  5(6)-Carboxyeos...  3-Carboxy-2,3-E...  58-(1-Carboxyet...  3-[(1E)-2-Carbo...  21-Carboxy-9-et...  3-[3-[5-(2-Carb...  5-(2-Carboxyeth...  4-Carboxy-3-eth...  4-(4-Carboxy-3-...  5-[(5-Carboxy-3...  2-Carboxy-4-Eth...  1-[2-(2-carboxy...  1-[2-(2-Carboxy...  1-[2-(2-Carboxy...  4-[2-[[(6R,7R)-...  4-[2-[[(6R,7R)-...