Identification
| Name |
N-Acetylleukotriene D4 |
| Synonyms |
(5S,6R,7E,9E,11Z,14Z)-6-[(2R)-2-Acetamido-3-(Carboxymethylamino)-3-Oxo-Propyl]Sulfanyl-5-Hydroxy-Icosa-7,9,11,14-Tetraenoic Acid; (5S,6R,7E,9E,11Z,14Z)-6-[[(2R)-2-Acetamido-3-(Carboxymethylamino)-3-Oxopropyl]Thio]-5-Hydroxyicosa-7,9,11,14-Tetraenoic Acid; 2-[[(2R)-2-Acetamido-3-[[(1R,2E,4E,6Z,9Z)-1-[(1S)-1,5-Dihydroxy-5-Keto-Pentyl]Pentadeca-2,4,6,9-Tetraenyl]Thio]Propanoyl]Amino]Acetic Acid |
|
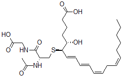
| Molecular Structure |
 |
| Molecular Formula |
C27H42N2O7S |
| Molecular Weight |
538.70 |
| CAS Registry Number |
80115-94-2 |
| SMILES |
[C@@H](NC(=O)C)(C(=O)NCC(=O)O)CS[C@@H]([C@@H](O)CCCC(=O)O)\C=C\C=C\C=C/C/C=C\CCCCC |
| InChI |
1S/C27H42N2O7S/c1-3-4-5-6-7-8-9-10-11-12-13-14-17-24(23(31)16-15-18-25(32)33)37-20-22(29-21(2)30)27(36)28-19-26(34)35/h7-8,10-14,17,22-24,31H,3-6,9,15-16,18-20H2,1-2H3,(H,28,36)(H,29,30)(H,32,33)(H,34,35)/b8-7-,11-10-,13-12+,17-14+/t22-,23-,24+/m0/s1 |
| InChIKey |
HJNOQTNZXQEPJB-NYLUJPCVSA-N |
|