Online Database of Chemicals from Around the World

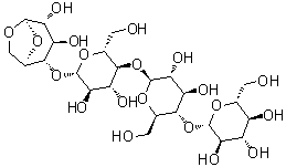
O-beta-D-Glucopyranosyl-(1→4)-O-beta-D-glucopyranosyl-(1→4)-O-beta-D-glucopyranosyl-(1→4)-1,6-anhydro-beta-D-glucopyranose
[CAS 80325-59-3]

List of Suppliers
Carbosynth China Ltd. China
www.carbosynth.cn
+86 (512) 6260-5585
+86 (512) 6260-5576
sales@carbosynth.com
QQ Chat
Chemical manufacturer since 2006
chemBlink Standard supplier since 2016

Identification
NameO-beta-D-Glucopyranosyl-(1→4)-O-beta-D-glucopyranosyl-(1→4)-O-beta-D-glucopyranosyl-(1→4)-1,6-anhydro-beta-D-glucopyranose
Molecular StructureO-beta-D-Glucopyranosyl-(1→4)-O-beta-D-glucopyranosyl-(1→4)-O-beta-D-glucopyranosyl-(1→4)-1,6-anhydro-beta-D-glucopyranose molecular structure (CAS 80325-59-3)
Molecular FormulaC24H40O20
Molecular Weight648.56
CAS Registry Number80325-59-3
Properties
SolubilitySoluble (53 g/L) (25 °C), Calc.*
Density1.82±0.1 g/cm3 (20 °C 760 Torr), Calc.*
*Calculated using Advanced Chemistry Development (ACD/Labs) Software V11.02 (©1994-2016 ACD/Labs)
Market Analysis Reports
Related Products
3beta-[[2-O-(6-...  6-(2-O-beta-D-G...  8-(4-O-beta-D-G...  3-O-(beta-D-Glu...  4-O-beta-D-Gluc...  26-O-beta-D-Glu...  (25R)-3beta-[4-...  (25R)-3beta-[[4...  O-beta-D-Glucop...  O-beta-D-Glucop...  beta-D-Glucopyr...  3-O-((beta-D-Gl...  O-beta-D-Glucop...  beta-D-Glucopyr...  alpha-D-Glucopy...  O-beta-D-Glucop...  beta-D-Glucopyr...  alpha-D-Glucopy...  7-[(O-beta-D-Gl...  O-alpha-D-Gluco...