Online Database of Chemicals from Around the World

Hygromycin B
[CAS 8052-93-5]

Suppliers
CAS#: 8052-93-5
Product: Hygromycin B
No suppilers available for the product.
Identification
Name Hygromycin B
Synonyms (3'R,3As,4S,4'R,5'R,6R,6'R,7S,7As)-4-[(1R,2S,3R,5S,6R)-3-Amino-2,6-Dihydroxy-5-Methylamino-Cyclohexoxy]-6'-[(1S)-1-Amino-2-Hydroxy-Ethyl]-6-(Hydroxymethyl)Spiro[4,6,7,7A-Tetrahydro-3Ah-[1,3]Dioxolo[4,5-D]Pyran-2,2'-Tetrahydropyran]-3',4',5',7-Tetrol; (3'R,3As,4S,4'R,5'R,6R,6'R,7S,7As)-4-[(1R,2S,3R,5S,6R)-3-Amino-2,6-Dihydroxy-5-Methylaminocyclohexoxy]-6'-[(1S)-1-Amino-2-Hydroxyethyl]-6-(Hydroxymethyl)Spiro[4,6,7,7A-Tetrahydro-3Ah-[1,3]Dioxolo[4,5-D]Pyran-2,2'-Tetrahydropyran]-3',4',5',7-Tetrol; (3'R,3As,4S,4'R,5'R,6R,6'R,7S,7As)-4-[(1R,2S,3R,5S,6R)-3-Amino-2,6-Dihydroxy-5-Methylamino-Cyclohexoxy]-6'-[(1S)-1-Amino-2-Hydroxy-Ethyl]-6-Methylol-Spiro[4,6,7,7A-Tetrahydro-3Ah-[1,3]Dioxolo[4,5-D]Pyran-2,2'-Tetrahydropyran]-3',4',5',7-Tetrol
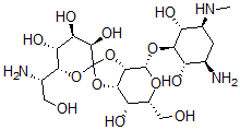
Molecular Structure CAS#: 8052-93-5, Hygromycin B
Molecular Formula C20H37N3O13
Molecular Weight 527.52
CAS Registry Number 8052-93-5
SMILES [C@@H]4(C3(O[C@@H]2[C@H](O[C@H]1[C@@H]([C@H](C[C@H]([C@@H]1O)N)NC)O)O[C@@H]([C@@H]([C@@H]2O3)O)CO)O[C@@H]([C@H](O)[C@H]4O)[C@H](CO)N)O
InChI 1S/C20H37N3O13/c1-23-7-2-5(21)9(26)15(10(7)27)33-19-17-16(11(28)8(4-25)32-19)35-20(36-17)18(31)13(30)12(29)14(34-20)6(22)3-24/h5-19,23-31H,2-4,21-22H2,1H3/t5-,6+,7+,8-,9+,10-,11+,12-,13-,14-,15-,16+,17+,18-,19+,20?/m1/s1
InChIKey GRRNUXAQVGOGFE-KPBUCVLVSA-N
Properties
Density 1.674g/cm3 (Cal.)
Boiling point 897.647°C at 760 mmHg (Cal.)
Flash point 496.679°C (Cal.)
Market Analysis Reports
Related Products
Hydroxyzine;2-[...  Hydroxyzine-d  Hydroxyzine dih...  Hydroxyzine Pam...  Hydroxyzine Pam...  alpha-Hydroxyzo...  Hydrozincite;ZI...  Hygrine;1-[(2R)...  Hygromycin A;(E...  Hygromycin B;O-...  Hylambatin;Hyla...  Hymeglusin;(+)-...  Hymenialdisine-...  Hymenialdisine;...  Hymenialdisine ...  Hymenialdisine ...  Hymenistatin I;...  Hymenolin;(3R,3...  Hymenoxon;Hymen...  Hymexazol;3-Hyd...