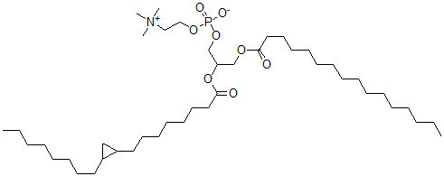
Identification
| Name |
[3-Hexadecanoyloxy-2-[8-(2-octylcyclopropyl)octanoyloxy]propyl] 2-trimethylazaniumylethyl phosphate |
| Synonyms |
[3-Hexadecanoyloxy-2-[8-(2-Octylcyclopropyl)Octanoyloxy]Propyl] 2-Trimethylammonioethyl Phosphate; [2-[8-(2-Octylcyclopropyl)-1-Oxooctoxy]-3-(1-Oxohexadecoxy)Propyl] 2-Trimethylammonioethyl Phosphate; 1-Palmitoyl-2-Dihydrosterculoyl-Sn-Glycero-3-Phosphocholine |
|
| Molecular Structure |
![CAS#: 81004-53-7, [3-Hexadecanoyloxy-2-[8-(2-octylcyclopropyl)octanoyloxy]propyl] 2-trimethylazaniumylethyl phosphate](/moreStructures/81004-53-7.gif) |
| Molecular Formula |
C43H84NO8P |
| Molecular Weight |
774.11 |
| CAS Registry Number |
81004-53-7 |
| SMILES |
C(C1C(C1)CCCCCCCC)CCCCCCC(OC(CO[P](OCC[N+](C)(C)C)([O-])=O)COC(=O)CCCCCCCCCCCCCCC)=O |
| InChI |
1S/C43H84NO8P/c1-6-8-10-12-14-15-16-17-18-19-20-24-28-32-42(45)49-37-41(38-51-53(47,48)50-35-34-44(3,4)5)52-43(46)33-29-25-21-23-27-31-40-36-39(40)30-26-22-13-11-9-7-2/h39-41H,6-38H2,1-5H3 |
| InChIKey |
NEXGQYNWUMFNAG-UHFFFAOYSA-N |
|