Online Database of Chemicals from Around the World

[(1S)-1,4aa,5,6,7,7aa-Hexahydro-5a,6a,7a-Trihydroxy-7-(Hydroxymethyl)Cyclopenta[c]Pyran-1a-Yl]beta-D-Glucopyranoside
[CAS 81026-61-1]

Suppliers
CAS#: 81026-61-1
Product: [(1S)-1,4aa,5,6,7,7aa-Hexahydro-5a,6a,7a-Trihydroxy-7-(Hydroxymethyl)Cyclopenta[c]Pyran-1a-Yl]beta-D-Glucopyranoside
No suppilers available for the product.
Identification
Name [(1S)-1,4aa,5,6,7,7aa-Hexahydro-5a,6a,7a-Trihydroxy-7-(Hydroxymethyl)Cyclopenta[c]Pyran-1a-Yl]beta-D-Glucopyranoside
Synonyms (2S,3S,4R,5R,6S)-6-[[(4Ar,7S,7As)-7-Hydroxy-7-(Hydroxymethyl)-4A,5,6,7A-Tetrahydro-1H-Cyclopenta[C]Pyran-1-Yl]Oxy]-2-(Dihydroxymethyl)Tetrahydropyran-2,3,4,5-Tetrol; (2S,3S,4R,5R,6S)-6-[[(4Ar,7S,7As)-7-Hydroxy-7-Methylol-4A,5,6,7A-Tetrahydro-1H-Cyclopenta[C]Pyran-1-Yl]Oxy]-2-(Dihydroxymethyl)Tetrahydropyran-2,3,4,5-Tetrol; Beta-D-Glucopyranoside, (1S,4Ar,5S,6S,7S,7As)-1,4A,5,6,7,7A-Hexahydro-5,6,7-Trihydroxy-7-(Hydroxymethyl)Cyclopenta(C)Pyran-1-Yl
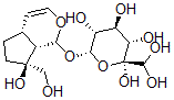
Molecular Structure CAS#: 81026-61-1, [(1S)-1,4aa,5,6,7,7aa-Hexahydro-5a,6a,7a-Trihydroxy-7-(Hydroxymethyl)Cyclopenta[c]Pyran-1a-Yl]beta-D-Glucopyranoside
Molecular Formula C15H24O11
Molecular Weight 380.35
CAS Registry Number 81026-61-1
SMILES [C@@H]3(OC1[C@H]2[C@@H](C=CO1)CC[C@]2(CO)O)[C@H](O)[C@@H](O)[C@H](O)[C@](O3)(C(O)O)O
InChI 1S/C15H24O11/c16-5-14(22)3-1-6-2-4-24-11(7(6)14)25-12-9(18)8(17)10(19)15(23,26-12)13(20)21/h2,4,6-13,16-23H,1,3,5H2/t6-,7-,8-,9-,10+,11?,12+,14-,15+/m1/s1
InChIKey HRCBFNSQUDOYRQ-YCWFDIDMSA-N
Properties
Density 1.758g/cm3 (Cal.)
Boiling point 663.848°C at 760 mmHg (Cal.)
Flash point 355.283°C (Cal.)
Market Analysis Reports
Related Products
Hexahydro-2-(2,...  (3aR,6aS)-rel-H...  Hexahydro-5-(2,...  Hexahydro-3-[[2...  Hexahydro-3-[[3...  Hexahydro-4-[3-...  Hexahydro-2-[[3...  2,3,4,4A,5,6-He...  (-)-cis-5,5a,6,...  (1R,4R,5R,6R,6a...  (2S-cis)-6-(N(6...  (2S-cis)-[[2-[1...  (1R-(1alpha,4be...  [3S,5R,11E,(-)]...  (1S,4aS,5R,7S,7...  (1S,2R,3R,11bS,...  Hexahydro-2',4'...  Hexahydro-3,3,5...  Hexahydro-5,5,7...  (3S,3aS,9aS,9bS...