|
CAS#: 81120-73-2 Product: Patellamide A No suppilers available for the product. |
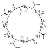
| Name | Patellamide A |
|---|---|
| Synonyms | Patellamide A; Ulithiacyclamide, 1,15-De(Dithiobis(Methylene))-4-Demethyl-8,22-Dide(2-Methylpropyl)-8,22-Bis(1-Methylethyl)-1,15-Bis(1-Methylpropyl)-, (1S(S),8R,15S(S),22R)-; C15734 |
| Molecular Structure | ![]() |
| Molecular Formula | C35H50N8O6S2 |
| Molecular Weight | 742.95 |
| CAS Registry Number | 81120-73-2 |
| SMILES | [C@H]15N=C(O[C@@H]1C)[C@@H](NC(=O)C2=CSC(=N2)[C@H](NC(=O)[C@H]3N=C(OC3)[C@@H](NC(=O)C4=CSC(=N4)[C@H](NC5=O)C(C)C)[C@H](CC)C)C(C)C)[C@H](CC)C |
| InChI | 1S/C35H50N8O6S2/c1-10-17(7)25-32-36-20(12-48-32)28(44)39-23(15(3)4)34-37-22(14-50-34)30(46)42-26(18(8)11-2)33-43-27(19(9)49-33)31(47)40-24(16(5)6)35-38-21(13-51-35)29(45)41-25/h13-20,23-27H,10-12H2,1-9H3,(H,39,44)(H,40,47)(H,41,45)(H,42,46)/t17-,18-,19+,20-,23+,24+,25-,26-,27-/m0/s1 |
| InChIKey | ZGJIVWQOEHQWLW-SWTUTNCKSA-N |
| Density | 1.449g/cm3 (Cal.) |
|---|---|
| Boiling point | 994.951°C at 760 mmHg (Cal.) |
| Flash point | 555.527°C (Cal.) |
| (1) | Donia et al.. Natural combinatorial peptide libraries in cyanobacterial symbionts of marine ascidians, Nature Chemical Biology, 2006 |
|---|---|
| Market Analysis Reports |