Online Database of Chemicals from Around the World

Taxagifine
[CAS 81489-69-2]

List of Suppliers
CAS: 81489-69-2
Product: Taxagifine
No suppliers available.
Identification
ClassificationNatural product >> Terpenes
NameTaxagifine
SynonymsTaxagifin
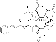
Molecular StructureTaxagifine molecular structure (CAS 81489-69-2)
Molecular FormulaC37H44O13
Molecular Weight696.74
CAS Registry Number81489-69-2
Properties
SolubilityPractically insoluble (0.028 g/L) (25 °C), Calc.*
Density1.32±0.1 g/cm3 (20 °C 760 Torr), Calc.*
*Calculated using Advanced Chemistry Development (ACD/Labs) Software V11.02 (©1994-2014 ACD/Labs)
Market Analysis Reports
Related Products
Taurolithocholi...  Taurolithocholi...  Tauromustine  Tauroselcholic ...  Tauroursodeoxyc...  Tauroursodeoxyc...  Taurultam  Tautomycin  Taxachitriene B  Taxacin  Taxamairin-A  Taxane  Taxanine M  Taxayunnansin A  Taxcultine  (-)-Taxifolin  Taxifolin  Taxifolin 3'-gl...  Taxifolin 3-O-b...  Taxin B