| Shanghai Advanced Viecle Technology Co., Ltd. | China | |||
|---|---|---|---|---|
![]() | www.avt-cn.com | |||
![]() | +86 (21) 6139-1729 400-6262-623 | |||
![]() | +86 (21) 5156-1583 | |||
![]() | nelson@avt-cn.com | |||
| Chemical distributor | ||||
| chemBlink Standard supplier since 2010 | ||||
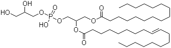
| Name | 1-Palmitoyl-2-oleoyl-phosphatidylglycerol |
|---|---|
| Molecular Structure | ![]() |
| Molecular Formula | C40H77O10P |
| Molecular Weight | 749.01 |
| CAS Registry Number | 81490-05-3 |
| Density | 1.040 |
|---|---|
| SDS | Available |
|---|---|
| Market Analysis Reports |