Online Database of Chemicals from Around the World

20-Deoxorosaranolide
[CAS 81560-70-5]

Suppliers
CAS#: 81560-70-5
Product: 20-Deoxorosaranolide
No suppilers available for the product.
Identification
Name 20-Deoxorosaranolide
Synonyms (14E)-3,10-Diethyl-7,9-Dihydroxy-2,8,12,16-Tetramethyl-4,17-Dioxabicyclo[14.1.0]Heptadec-14-Ene-5,13-Quinone; 20-Deoxorosaranolide; Tylonolide, 20-Deoxo-23-Deoxy-12,13-Epoxy-12,13-Dihydro-
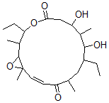
Molecular Structure CAS#: 81560-70-5, 20-Deoxorosaranolide
Molecular Formula C23H38O6
Molecular Weight 410.55
CAS Registry Number 81560-70-5
SMILES C(C2OC(=O)CC(O)C(C(O)C(CC(C(=O)/C=C/C1(OC1C2C)C)C)CC)C)C
InChI 1S/C23H38O6/c1-7-16-11-13(3)17(24)9-10-23(6)22(29-23)15(5)19(8-2)28-20(26)12-18(25)14(4)21(16)27/h9-10,13-16,18-19,21-22,25,27H,7-8,11-12H2,1-6H3/b10-9+
InChIKey XOGKMZLERJTDPN-MDZDMXLPSA-N
Market Analysis Reports
Related Products
1-De(5-oxo-L-pr...  1-de(5-oxo-L-pr...  1-De(5-Oxo-L-Pr...  (S)-1-De(5-oxo-...  1-de(5-oxo-L-pr...  1-De(5-oxo-L-pr...  1-De(5-oxo-L-pr...  (S)-1-de(5-oxo-...  1-De(5-oxo-L-pr...  (-)-Deoxoprosop...  1-(2’-Deoxy-3’,...  2’-Deoxy-2’,2’-...  (2’S)-2’-Deoxy-...  4’-Deoxy-2’-hyd...  3-Deoxyaconitin...  27-Deoxyactein;...  Deoxyadenosine;...  2'-Deoxy(8-  2'-Deoxyadenosi...  2'-Deoxy-Adenos...