Online Database of Chemicals from Around the World

Phomenoic Acid
[CAS 83652-15-7]

Suppliers
CAS#: 83652-15-7
Product: Phomenoic Acid
No suppilers available for the product.
Identification
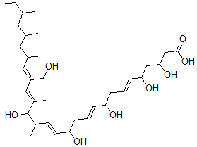
Name Phomenoic Acid
Synonyms (6E,10E,14E,18E,20Z)-3,5,9,13,17-Pentahydroxy-20-(Hydroxymethyl)-16,18,22,24,26-Pentamethyl-Octacosa-6,10,14,18,20-Pentaenoic Acid; (6E,10E,14E,18E,20Z)-3,5,9,13,17-Pentahydroxy-16,18,22,24,26-Pentamethyl-20-Methylol-Octacosa-6,10,14,18,20-Pentaenoic Acid; 6,10,14,18,20-Octacosapentaenoic Acid, 3,5,9,13,17-Pentahydroxy-20-(Hydroxymethyl)-16,18,22,24,26-Pentamethyl-
Molecular Structure CAS#: 83652-15-7, Phomenoic Acid
Molecular Formula C34H58O8
Molecular Weight 594.83
CAS Registry Number 83652-15-7
SMILES C(C(CC(\C=C\CC(\C=C\CC(\C=C\C(C(C(=C/C(=C/C(CC(CC(CC)C)C)C)CO)/C)O)C)O)O)O)O)C(=O)O
InChI 1S/C34H58O8/c1-7-23(2)16-24(3)17-25(4)18-28(22-35)19-27(6)34(42)26(5)14-15-30(37)12-8-10-29(36)11-9-13-31(38)20-32(39)21-33(40)41/h8-10,13-15,18-19,23-26,29-32,34-39,42H,7,11-12,16-17,20-22H2,1-6H3,(H,40,41)/b10-8+,13-9+,15-14+,27-19+,28-18-
InChIKey YGKCSBFCFFDFJJ-CMKJWTFASA-N
Properties
Density 1.101g/cm3 (Cal.)
Boiling point 779.824°C at 760 mmHg (Cal.)
Flash point 439.33°C (Cal.)
Market Analysis Reports
Related Products
Phloroglucinol;...  Phloroglucinol ...  Phloroglucinol ...  PHM-27  Pholcodine;3-Mo...  Pholcolix;Pholc...  Pholipomycin;3-...  Phomactin A  Phomalactone;2H...  Phomalirazine  Phomenolactone;...  Phomopsin A;2-[...  Phomopsolide A;...  Phomopsolide B;...  Phomoxanthone A...  Phorate;O,O-Die...  Phorate-Oxon;1-...  Phorate sulfone...  Phorate sulfoxi...  4beta-Phorbol;(...