Online Database of Chemicals from Around the World

[(2R,3R)-2-(6-Aminopurin-9-yl)-3,4-dihydroxy-2,3-dihydrofuran-5-yl]methoxy-N-[[[(2R,3S,4R,5R)-5-(6-aminopurin-9-yl)-3,4-dihydroxyoxolan-2-yl]methoxy-hydroxyphosphoryl]oxy-hydroxyphosphoryl]phosphonamidic acid
[CAS 84625-58-1]

Suppliers
CAS#: 84625-58-1
Product: [(2R,3R)-2-(6-Aminopurin-9-yl)-3,4-dihydroxy-2,3-dihydrofuran-5-yl]methoxy-N-[[[(2R,3S,4R,5R)-5-(6-aminopurin-9-yl)-3,4-dihydroxyoxolan-2-yl]methoxy-hydroxyphosphoryl]oxy-hydroxyphosphoryl]phosphonamidic acid
No suppilers available for the product.
Identification
Name [(2R,3R)-2-(6-Aminopurin-9-yl)-3,4-dihydroxy-2,3-dihydrofuran-5-yl]methoxy-N-[[[(2R,3S,4R,5R)-5-(6-aminopurin-9-yl)-3,4-dihydroxyoxolan-2-yl]methoxy-hydroxyphosphoryl]oxy-hydroxyphosphoryl]phosphonamidic acid
Synonyms N-[[(4R,5R)-5-(6-Aminopurin-9-Yl)-3,4-Dihydroxy-4,5-Dihydrofuran-2-Yl]Methoxy-Hydroxy-Phosphoryl]-[[(2R,3S,4R,5R)-5-(6-Aminopurin-9-Yl)-3,4-Dihydroxy-Tetrahydrofuran-2-Yl]Methoxy-Hydroxy-Phosphoryl]Oxy-Phosphonamidic Acid; N-[[(4R,5R)-5-(6-Amino-9-Purinyl)-3,4-Dihydroxy-4,5-Dihydrofuran-2-Yl]Methoxy-Hydroxyphosphoryl]-[[(2R,3S,4R,5R)-5-(6-Amino-9-Purinyl)-3,4-Dihydroxy-2-Tetrahydrofuranyl]Methoxy-Hydroxyphosphoryl]Oxyphosphonamidic Acid; N-[[(4R,5R)-5-(6-Aminopurin-9-Yl)-3,4-Dihydroxy-4,5-Dihydrofuran-2-Yl]Methoxy-Hydroxy-Phosphoryl]-[[(2R,3S,4R,5R)-5-(6-Aminopurin-9-Yl)-3,4-Dihydroxy-Oxolan-2-Yl]Methoxy-Hydroxy-Phosphoryl]Oxy-Phosphonamidic Acid
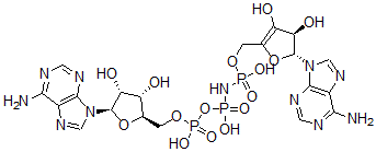
Molecular Structure CAS#: 84625-58-1, [(2R,3R)-2-(6-Aminopurin-9-yl)-3,4-dihydroxy-2,3-dihydrofuran-5-yl]methoxy-N-[[[(2R,3S,4R,5R)-5-(6-aminopurin-9-yl)-3,4-dihydroxyoxolan-2-yl]methoxy-hydroxyphosphoryl]oxy-hydroxyphosphoryl]phosphonamidic acid
Molecular Formula C20H26N11O15P3
Molecular Weight 753.41
CAS Registry Number 84625-58-1
SMILES [C@H]1(OC(=C(O)[C@H]1O)CO[P](=O)(O)N[P](O[P](OC[C@H]4O[C@@H]([N]2C3=C(N=C2)C(=NC=N3)N)[C@H](O)[C@@H]4O)(=O)O)(=O)O)[N]5C6=C(N=C5)C(=NC=N6)N
InChI 1S/C20H26N11O15P3/c21-15-9-17(25-3-23-15)30(5-27-9)19-13(34)11(32)7(44-19)1-42-47(36,37)29-48(38,39)46-49(40,41)43-2-8-12(33)14(35)20(45-8)31-6-28-10-16(22)24-4-26-18(10)31/h3-6,8,12-14,19-20,32-35H,1-2H2,(H,40,41)(H2,21,23,25)(H2,22,24,26)(H3,29,36,37,38,39)/t8-,12-,13-,14-,19-,20-/m1/s1
InChIKey DBGUCIAXKSPQMW-XJBFIMGMSA-N
Properties
Density 2.538g/cm3 (Cal.)
Boiling point 1198.087°C at 760 mmHg (Cal.)
Flash point 678.378°C (Cal.)
Market Analysis Reports
Related Products
1-[4-(6-Aminopu...  4-(6-Amino-9H-p...  1-(6-Amino-9H-P...  5'-(6-Aminopuri...  (2R,3R,4S,5S)-2...  (11R)-11-C-(6-A...  1-(6-Amino-9H-p...  (2R,3R,4S,5S)-2...  (2R,3R,4S,5S)-2...  [(1R,2R,3R)-4-(...  1-((2R,3S,4R,5R...  2-(6-Aminopurin...  (2S,3S,4R,5R)-5...  5-(6-Aminopurin...  5-(6-Aminopurin...  [(2R,3S,4R,5R)-...  [(2R,3S,4R,5R)-...  2-[5-[[5-(6-Ami...  [(2R,3S,4R,5R)-...  [[(2R,3S,4R,5R)...