| Carbosynth China Ltd. | China | |||
|---|---|---|---|---|
![]() | www.carbosynth.cn | |||
![]() | +86 (512) 6260-5585 | |||
![]() | +86 (512) 6260-5576 | |||
![]() | sales@carbosynth.com | |||
![]() | QQ Chat | |||
| Chemical manufacturer since 2006 | ||||
| chemBlink Standard supplier since 2016 | ||||
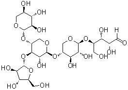
| Name | O-alpha-L-Arabinofuranosyl-(1→3)-O-[beta-D-xylopyranosyl-(1→4)]-O-beta-D-xylopyranosyl-(1→4)-O-beta-D-xylopyranosyl-(1→4)-D-xylose |
|---|---|
| Molecular Structure | ![]() |
| Molecular Formula | C25H42O21 |
| Molecular Weight | 678.59 |
| CAS Registry Number | 84666-93-3 |
| Solubility | Freely soluble (150 g/L) (25 °C), Calc.* |
|---|---|
| Density | 1.75±0.1 g/cm3 (20 °C 760 Torr), Calc.* |
| * | Calculated using Advanced Chemistry Development (ACD/Labs) Software V11.02 (©1994-2016 ACD/Labs) |
| Market Analysis Reports |