| Interbioscreen Ltd. | Russian Federation | |||
|---|---|---|---|---|
![]() |
+7 (49) 6524-0091 | |||
![]() |
screen@ibscreen.chg.ru | |||
| Chemical manufacturer | ||||
| ZereneX Molecular Ltd. | UK | |||
|---|---|---|---|---|
![]() |
+44 (1204) 527-700 | |||
![]() |
sales@zerenex-molecular.com | |||
| Chemical manufacturer | ||||
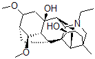
| Name | Karasamine |
|---|---|
| Synonyms | Karasamine |
| Molecular Structure | ![]() |
| Molecular Formula | C23H37NO4 |
| Molecular Weight | 391.55 |
| CAS Registry Number | 84714-33-0 |
| SMILES | [C@@]134C2[C@H](C[C@@H]1C(CN2CC)(C)CC[C@@H]3O)[C@@]5([C@@H]6[C@H]4C[C@H](C(OC)C5)[C@@H]6OC)O |
| InChI | 1S/C23H37NO4/c1-5-24-11-21(2)7-6-17(25)23-13-8-12-15(27-3)10-22(26,18(13)19(12)28-4)14(20(23)24)9-16(21)23/h12-20,25-26H,5-11H2,1-4H3/t12-,13-,14+,15?,16-,17+,18-,19+,20?,21?,22+,23-/m1/s1 |
| InChIKey | PEUHZLSMLRCFJM-RLDBGSGHSA-N |
| Density | 1.25g/cm3 (Cal.) |
|---|---|
| Boiling point | 520.09°C at 760 mmHg (Cal.) |
| Flash point | 268.341°C (Cal.) |
| Market Analysis Reports |