Identification
| Name |
Cisticide M |
| Synonyms |
2-Aminoethanethiol; [(2R,3S,4R,5R)-5-(6-Aminopurin-9-Yl)-3,4-Dihydroxy-Tetrahydrofuran-2-Yl]Methyl Dihydrogen Phosphate; 2-Aminoethanethiol; [(2R,3S,4R,5R)-5-(6-Aminopurin-9-Yl)-3,4-Dihydroxy-2-Tetrahydrofuranyl]Methyl Dihydrogen Phosphate; [(2R,3S,4R,5R)-5-Adenin-9-Yl-3,4-Dihydroxy-Tetrahydrofuran-2-Yl]Methyl Dihydrogen Phosphate; 2-Aminoethanethiol |
|
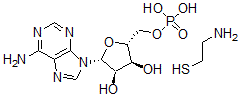
| Molecular Structure |
 |
| Molecular Formula |
C12H21N6O7PS |
| Molecular Weight |
424.37 |
| CAS Registry Number |
84783-77-7 |
| SMILES |
[C@H]1(O[C@@H]([C@@H](O)[C@H]1O)CO[P](=O)(O)O)[N]2C3=C(N=C2)C(=NC=N3)N.C(S)CN |
| InChI |
1S/C10H14N5O7P.C2H7NS/c11-8-5-9(13-2-12-8)15(3-14-5)10-7(17)6(16)4(22-10)1-21-23(18,19)20;3-1-2-4/h2-4,6-7,10,16-17H,1H2,(H2,11,12,13)(H2,18,19,20);4H,1-3H2/t4-,6-,7-,10-;/m1./s1 |
| InChIKey |
PLJFJINBNLLHMW-MCDZGGTQSA-N |
|