|
CAS#: 84864-53-9 Product: 2-[4-(2-{4-[2-(Acryloyloxy)ethoxy]phenyl}-2-propanyl)phenoxy]ethyl N,N-diethyl-beta-alaninate No suppilers available for the product. |
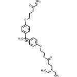
| Name | 2-[4-(2-{4-[2-(Acryloyloxy)ethoxy]phenyl}-2-propanyl)phenoxy]ethyl N,N-diethyl-beta-alaninate |
|---|---|
| Synonyms | 2-[4-[1-m |
| Molecular Structure | ![]() |
| Molecular Formula | C29H39NO6 |
| Molecular Weight | 497.62 |
| CAS Registry Number | 84864-53-9 |
| EINECS | 284-375-8 |
| SMILES | C=CC(=O)OCCOc1ccc(cc1)C(C)(C)c2ccc(OCCOC(=O)CCN(CC)CC)cc2 |
| InChI | 1S/C29H39NO6/c1-6-27(31)35-21-19-33-25-13-9-23(10-14-25)29(4,5)24-11-15-26(16-12-24)34-20-22-36-28(32)17-18-30(7-2)8-3/h6,9-16H,1,7-8,17-22H2,2-5H3 |
| InChIKey | LXJDZBHLBVBEEY-UHFFFAOYSA-N |
| Density | 1.086g/cm3 (Cal.) |
|---|---|
| Boiling point | 597.381°C at 760 mmHg (Cal.) |
| Flash point | 315.085°C (Cal.) |
| Market Analysis Reports |