Online Database of Chemicals from Around the World
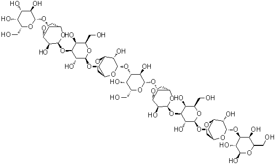
O-beta-D-Galactopyranosyl-(1→4)-O-3,6-anhydro-alpha-L-galactopyranosyl-(1→3)-O-beta-D-galactopyranosyl-(1→4)-O-3,6-anhydro-alpha-L-galactopyranosyl-(1→3)-O-beta-D-galactopyranosyl-(1→4)-O-3,6-anhydro-alpha-L-galactopyranosyl-(1→3)-O-beta-D-galactopyranosyl-(1→4)-O-3,6-anhydro-alpha-L-galactopyranosyl-(1→3)-beta-D-galactopyranose
[CAS 852690-26-7]
Identification| Name | O-beta-D-Galactopyranosyl-(1→4)-O-3,6-anhydro-alpha-L-galactopyranosyl-(1→3)-O-beta-D-galactopyranosyl-(1→4)-O-3,6-anhydro-alpha-L-galactopyranosyl-(1→3)-O-beta-D-galactopyranosyl-(1→4)-O-3,6-anhydro-alpha-L-galactopyranosyl-(1→3)-O-beta-D-galactopyranosyl-(1→4)-O-3,6-anhydro-alpha-L-galactopyranosyl-(1→3)-beta-D-galactopyranose |
|---|
|
| Molecular Structure |  |
| Molecular Formula | C54H84O42 |
| Molecular Weight | 1405.22 |
| CAS Registry Number | 852690-26-7 |
|
Properties
| Solubility | Slightly soluble (3.7 g/L) (25 °C), Calc.* |
| Density | 1.87±0.1 g/cm3 (20 °C 760 Torr), Calc.* |
|
| * | Calculated using Advanced Chemistry Development (ACD/Labs) Software V11.02 (©1994-2016 ACD/Labs) |
|
Related Products