|
CAS#: 85392-40-1 Product: 4-(3,3-Dimethylbicyclo[2.2.1]hept-2-yl)-2-ethyl-1-butanol No suppilers available for the product. |
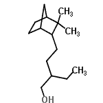
| Name | 4-(3,3-Dimethylbicyclo[2.2.1]hept-2-yl)-2-ethyl-1-butanol |
|---|---|
| Synonyms | β-ethyl-3,3-dimethylbicyclo[2.2.1]heptane-2-butanol |
| Molecular Structure | ![]() |
| Molecular Formula | C15H28O |
| Molecular Weight | 224.38 |
| CAS Registry Number | 85392-40-1 |
| EINECS | 286-899-2 |
| SMILES | CC2(C)C1CCC(C1)C2CCC(CC)CO |
| InChI | 1S/C15H28O/c1-4-11(10-16)5-8-14-12-6-7-13(9-12)15(14,2)3/h11-14,16H,4-10H2,1-3H3 |
| InChIKey | HGECOPUKOWSQTP-UHFFFAOYSA-N |
| Density | 0.915g/cm3 (Cal.) |
|---|---|
| Boiling point | 285.79°C at 760 mmHg (Cal.) |
| Flash point | 129.137°C (Cal.) |
| Market Analysis Reports |