|
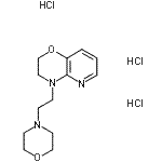
CAS#: 86979-78-4 Product: 4-[2-(4-Morpholinyl)ethyl]-3,4-dihydro-2H-pyrido[3,2-b][1,4]oxazine trihydrochloride No suppilers available for the product. |
| Name | 4-[2-(4-Morpholinyl)ethyl]-3,4-dihydro-2H-pyrido[3,2-b][1,4]oxazine trihydrochloride |
|---|---|
| Synonyms | 2H-Pyrido |
| Molecular Structure | ![]() |
| Molecular Formula | C13H22Cl3N3O2 |
| Molecular Weight | 358.69 |
| CAS Registry Number | 86979-78-4 |
| SMILES | Cl.Cl.Cl.n1cccc2OCCN(c12)CCN3CCOCC3 |
| InChI | 1S/C13H19N3O2.3ClH/c1-2-12-13(14-3-1)16(8-11-18-12)5-4-15-6-9-17-10-7-15;;;/h1-3H,4-11H2;3*1H |
| InChIKey | HLNXUUXFJUWDLJ-UHFFFAOYSA-N |
| Boiling point | 414.8°C at 760 mmHg (Cal.) |
|---|---|
| Flash point | 204.7°C (Cal.) |
| Market Analysis Reports |