Identification
| Name |
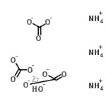
Ammonium zirconium(4+) carbonate hydroxide (3:1:3:1) |
| Synonyms |
Ammonium zirconyl carbonate; Triammonium tris(carbonato(2-)-O)hydroxyzirconate(3-); Zirconate(3-), tris(carbonato(2-)-κO)hydroxy-, triammonium, (T-4)- |
|
| Molecular Structure |
 |
| Molecular Formula |
C3H13N3O10Zr |
| Molecular Weight |
342.37 |
| CAS Registry Number |
87534-11-0 |
| SMILES |
[Zr+4].O=C([O-])[O-].[O-]C([O-])=O.[O-]C([O-])=O.[OH-].[NH4+].[NH4+].[NH4+] |
| InChI |
1S/3CH2O3.3H3N.H2O.Zr/c3*2-1(3)4;;;;;/h3*(H2,2,3,4);3*1H3;1H2;/q;;;;;;;+4/p-4 |
| InChIKey |
KAHROJAJXYSFOD-UHFFFAOYSA-J |
|