Online Database of Chemicals from Around the World

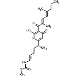
Methyl [(1E,5R)-5-{5-[(2E,4E)-2,5-dimethyl-2,4-octadienoyl]-6-hydroxy-4-oxo-4H-pyran-2-yl}-1-hexen-1-yl]carbamate
[CAS 88192-98-7]

Suppliers
CAS#: 88192-98-7
Product: Methyl [(1E,5R)-5-{5-[(2E,4E)-2,5-dimethyl-2,4-octadienoyl]-6-hydroxy-4-oxo-4H-pyran-2-yl}-1-hexen-1-yl]carbamate
No suppilers available for the product.
Identification
Name Methyl [(1E,5R)-5-{5-[(2E,4E)-2,5-dimethyl-2,4-octadienoyl]-6-hydroxy-4-oxo-4H-pyran-2-yl}-1-hexen-1-yl]carbamate
Synonyms Carbamic acid, (5-(3-(2,5-dimethyl-1-oxo-2,4-octadienyl)-4-hydroxy-2-oxo-2H-pyran-6-yl)-1-hexenyl)-, methyl ester, (R-(E,E,E))-; myxopyronin A
Molecular Structure CAS#: 88192-98-7, Methyl [(1E,5R)-5-{5-[(2E,4E)-2,5-dimethyl-2,4-octadienoyl]-6-hydroxy-4-oxo-4H-pyran-2-yl}-1-hexen-1-yl]carbamate
Molecular Formula C23H31NO6
Molecular Weight 417.49
CAS Registry Number 88192-98-7
SMILES O=C(C=1C(=O)/C=C(\OC=1O)[C@H](C)CC\C=C\NC(=O)OC)\C(=C\C=C(/C)CCC)C
InChI 1S/C23H31NO6/c1-6-9-15(2)11-12-17(4)21(26)20-18(25)14-19(30-22(20)27)16(3)10-7-8-13-24-23(28)29-5/h8,11-14,16,27H,6-7,9-10H2,1-5H3,(H,24,28)/b13-8+,15-11+,17-12+/t16-/m1/s1
InChIKey MHYAUZGPOFPRQM-JNZIYJEQSA-N
Properties
Density 1.153g/cm3 (Cal.)
Boiling point 569.234°C at 760 mmHg (Cal.)
Flash point 298.062°C (Cal.)
Market Analysis Reports
Related Products
Methyl (3R,4S,5...  Methyl 2,6-dime...  Methyl 5,6-Dime...  Methyl 4,6-Dime...  Methyl 3,5-Dime...  Methyl [(1E,5R)...  Methyl 4,6-Dime...  Methyl (2E)-3,7...  Methyl (Z)-3,7-...  Methyl (2E)-3,7...  Methyl 2-[(3,7-...  Methyl[(Z)-3,7-...  Methyl 2,2-Dime...  Methyl 34,36-Di...  Methyl 3,7-Dime...  Methyl 2-((3,7-...  Methyl 2-[[2-[(...  Methyl 2-[(3,7-...  Methyl 4,5-Dime...  Methyl 3,5-Dime...