| Chengdu Biopurify Phytochemicals Ltd. | China | |||
|---|---|---|---|---|
![]() | www.phytopurify.com | |||
![]() | +86 (28) 8263-3860 8263-3987 | |||
![]() | +86 (28) 8263-3165 | |||
![]() | sales@biopurify.com biopurify@gmail.com | |||
![]() | QQ Chat | |||
![]() | Skype Chat | |||
| Chemical manufacturer | ||||
| chemBlink Standard supplier since 2017 | ||||
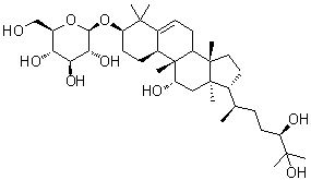
| Name | Mogroside I-E1 |
|---|---|
| Synonyms | (3beta,9beta,10alpha,11alpha,24R)-11,24,25-Trihydroxy-9-methyl-19-norlanost-5-en-3-yl beta-D-glucopyranoside |
| Molecular Structure | ![]() |
| Molecular Formula | C36H62O9 |
| Molecular Weight | 638.87 |
| CAS Registry Number | 88901-39-7 |
| Solubility | Insoluble (5.7E-4 g/L) (25 °C), Calc.* |
|---|---|
| Density | 1.23±0.1 g/cm3 (20 °C 760 Torr), Calc.* |
| * | Calculated using Advanced Chemistry Development (ACD/Labs) Software V11.02 (©1994-2016 ACD/Labs) |
| Market Analysis Reports |