Online Database of Chemicals from Around the World

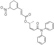
(2E)-3-(5-Nitro-1-cyclohexen-1-yl)-2-propenoic acid (1R,2Z)-4-(diphenylamino)-1-methyl-4-oxo-2-buten-1-yl ester
[CAS 900186-73-4]

List of Suppliers
Changzhou Fang Nan Medical Technology Co., Ltd. China
www.alnovapharm.com
+86 (519) 8528-3268
8528-3269
+86 13764769395
+86 (519) 8528-3269
sales@alnovapharm.com
QQ Chat
Chemical manufacturer since 2014
chemBlink Standard supplier since 2015

Identification
Name(2E)-3-(5-Nitro-1-cyclohexen-1-yl)-2-propenoic acid (1R,2Z)-4-(diphenylamino)-1-methyl-4-oxo-2-buten-1-yl ester
Molecular Structure(2E)-3-(5-Nitro-1-cyclohexen-1-yl)-2-propenoic acid (1R,2Z)-4-(diphenylamino)-1-methyl-4-oxo-2-buten-1-yl ester molecular structure (CAS 900186-73-4)
Molecular FormulaC26H26N2O5
Molecular Weight446.50
CAS Registry Number900186-73-4
Properties
SolubilityInsoluble (2.7E-3 g/L) (25 °C), Calc.*
Density1.24±0.1 g/cm3 (20 °C 760 Torr), Calc.*
*Calculated using Advanced Chemistry Development (ACD/Labs) Software V11.02 (©1994-2015 ACD/Labs)
Safety Data
SDSAvailable
Market Analysis Reports
Related Products
2-Nitrocyclohex...  Nitrocyclohexat...  1-Nitro-Cyclohe...  (1R,6R)-6-Nitro...  (1S,6S)-6-Nitro...  4-Nitro-3-Cyclo...  3-Nitro-3-Cyclo...  5-Nitro-1-cyclo...  (1S)-3-Nitro-2-...  (2E)-3-(5-Nitro...  4-Nitrocyclohex...  3-Nitro-4-(Cycl...  1-Nitro-2-Cyclo...  3-(2-Nitrocyclo...  N-(4-Nitro-1-Cy...  3-(1-Nitrocyclo...  Nitrocyclopenta...  4-Nitro-1,3-Cyc...  Nitrocyclopenta...  3-Nitro-Cyclope...