Online Database of Chemicals from Around the World

(3alpha,7alpha)-12,13-Epoxy-3,7,15-trihydroxy-trichothec-9-en-8-one-13C15
[CAS 911392-36-4]

List of Suppliers
Sigma-Aldrich, Inc. China
www.sigmaaldrich.com
+86 (21) 6141-5566
800-819-3336
orderCN@sial.com
Chemical manufacturer since 1992
chemBlink Standard supplier since 2013

Identification
ClassificationAnalytical chemistry >> Standard >> Food and cosmetics standards
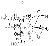
Name(3alpha,7alpha)-12,13-Epoxy-3,7,15-trihydroxy-trichothec-9-en-8-one-<sup>13</sup>C<sub>15</sub>
Molecular Structure(3alpha,7alpha)-12,13-Epoxy-3,7,15-trihydroxy-trichothec-9-en-8-one-<sup>13</sup>C<sub>15</sub> molecular structure (CAS 911392-36-4)
Molecular FormulaC15H20O6
Molecular Weight296.32
CAS Registry Number911392-36-4
EC Number809-626-6
Safety Data
Hazard Classification
up    Details
HazardClassCategory CodeHazard Statement
Acute toxicityAcute Tox.3H301
Market Analysis Reports
Related Products
(4-beta)-12,13-...  (R)-(+)-1,2-Epo...  4,5-Epoxy-3,6,1...  (11beta,12alpha...  (11b,12a,15b)-1...  13,20-Epoxy-2,1...  (6alpha,7R,14R)...  11beta,20-Epoxy...  7beta,8-Epoxy-3...  5,6-Epoxy-4,20,...  (3alpha,7alpha)...  (2E,6E)-10,11-E...  2,3-Epoxy-2,4,4...  1,2-Epoxy-4-vin...  Epoxy-4-Vinylcy...  2,3-Epoxy-5-Vin...  Eprazinone  Eprazinone dihy...  Eprinomectin  Epristeride