Online Database of Chemicals from Around the World

4,5-Dihydro-5-(2,3:4,5-diepoxy-1-hydroxydodeca-6,7-dien-9,11-diynyl)-2(3H)-furanone
[CAS 91682-94-9]

Suppliers
CAS#: 91682-94-9
Product: 4,5-Dihydro-5-(2,3:4,5-diepoxy-1-hydroxydodeca-6,7-dien-9,11-diynyl)-2(3H)-furanone
No suppilers available for the product.
Identification
Name 4,5-Dihydro-5-(2,3:4,5-diepoxy-1-hydroxydodeca-6,7-dien-9,11-diynyl)-2(3H)-furanone
Synonyms 5-[[3-(3-Hepta-1,2-Dien-4,6-Diynyloxiran-2-Yl)Oxiran-2-Yl]-Hydroxy-Methyl]Tetrahydrofuran-2-One; 5-[[3-(3-Hepta-1,2-Dien-4,6-Diynyl-2-Oxiranyl)-2-Oxiranyl]-Hydroxymethyl]-2-Tetrahydrofuranone; 5-[[3-(3-Hepta-1,2-Dien-4,6-Diynyloxiran-2-Yl)Oxiran-2-Yl]-Hydro
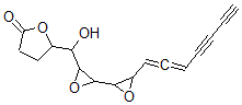
Molecular Structure CAS#: 91682-94-9, 4,5-Dihydro-5-(2,3:4,5-diepoxy-1-hydroxydodeca-6,7-dien-9,11-diynyl)-2(3H)-furanone
Molecular Formula C16H14O5
Molecular Weight 286.28
CAS Registry Number 91682-94-9
SMILES O=C3OC(C(C2C(C1C(O1)[CH]=[C]=[CH]C#CC#C)O2)O)CC3
InChI 1S/C16H14O5/c1-2-3-4-5-6-7-11-14(20-11)16-15(21-16)13(18)10-8-9-12(17)19-10/h1,5,7,10-11,13-16,18H,8-9H2
InChIKey JMBCDSUOYMQCGL-UHFFFAOYSA-N
Market Analysis Reports
Related Products
(4E)-4-({[4-(10...  4-[(E)-{[4-(10,...  2-[[[4-(10,11-D...  2-{2-[(E)-{[4-(...  10,11-Dihydrodi...  (-)-[[(R)-2,3-D...  5,6-Dihydro-N-(...  5,6-DIHYDRODICY...  Dihydrodicyclop...  2,3-Dihydrodicy...  3,4-Dihydro-6,7...  (R)-2,5-Dihydro...  (S)-2,5-Dihydro...  6,7-Dihydro-6-[...  10,11-Dihydro-5...  3a,7a-Dihydro-2...  2,3-Dihydro-3-(...  6,7-Dihydro-1-[...  6,7-Dihydro-5-[...  Dihydro-3,3-Die...