Online Database of Chemicals from Around the World

Benzoyloxycarbonyl-Cholecystokinin (27-32) Amide
[CAS 92773-91-6]

Suppliers
CAS#: 92773-91-6
Product: Benzoyloxycarbonyl-Cholecystokinin (27-32) Amide
No suppilers available for the product.
Identification
Name Benzoyloxycarbonyl-Cholecystokinin (27-32) Amide
Synonyms (3S)-4-Amino-3-[[2-[[(2S)-3-(1H-Indol-3-Yl)-2-[[2-[[(2S)-4-Methylsulfanyl-2-[[(2S)-2-(Phenylmethoxycarbonylamino)-3-(4-Sulfooxyphenyl)Propanoyl]Amino]Butanoyl]Amino]Acetyl]Amino]Propanoyl]Amino]-4-Methylsulfanyl-Butanoyl]Amino]-4-Oxo-Butanoic Acid; (3S)-4-
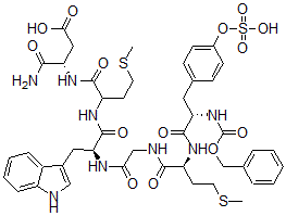
Molecular Structure CAS#: 92773-91-6, Benzoyloxycarbonyl-Cholecystokinin (27-32) Amide
Molecular Formula C44H54N8O14S3
Molecular Weight 1015.14
CAS Registry Number 92773-91-6
SMILES [C@@H](CC1=C[NH]C2=CC=CC=C12)(NC(CNC([C@@H](NC([C@@H](NC(OCC3=CC=CC=C3)=O)CC4=CC=C(O[S](=O)(=O)O)C=C4)=O)CCSC)=O)=O)C(NC(C(N[C@H](C(=O)N)CC(O)=O)=O)CCSC)=O
InChI 1S/C44H54N8O14S3/c1-67-18-16-32(49-42(59)35(52-44(61)65-25-27-8-4-3-5-9-27)20-26-12-14-29(15-13-26)66-69(62,63)64)40(57)47-24-37(53)48-36(21-28-23-46-31-11-7-6-10-30(28)31)43(60)50-33(17-19-68-2)41(58)51-34(39(45)56)22-38(54)55/h3-15,23,32-36,46H,16-22,24
InChIKey KPQFTSAITJUUQC-PXKRUONZSA-N
Properties
Density 1.425g/cm3 (Cal.)
Market Analysis Reports
Related Products
(17B)-17-(Benzo...  [1R-(Exo,Exo)]-...  (1R,2R,3S,5S)-3...  4-(Benzoyloxy)-...  N-(Benzoyloxy)b...  4-Benzoyloxyben...  (2S,3S,3aR,9aS)...  7-(2-Benzoyloxy...  4-(Benzoyloxy)-...  [4-(Benzoyloxy)...  N-(N-((Benzoylo...  N-[3-(Benzoylox...  7-(2-Benzoyloxy...  7-(2-Benzoyloxy...  3-Benzoyloxy-6-...  (3aR,4R,5R,6aS)...  3-Benzoyloxycho...  trans-3'-Benzoy...  (3S)-3-(Benzoyl...  3-(3-(6-Benzoyl...