Online Database of Chemicals from Around the World

Igercine
[CAS 92891-56-0]

Suppliers
CAS#: 92891-56-0
Product: Igercine
No suppilers available for the product.
Identification
Name Igercine
Synonyms (2S)-6-Amino-2-[[2-[[(2S)-1-[(2S)-4-Amino-2-[[(2S)-2-[[(2S)-2-[[(2S)-2-[[(2S)-2-[[(2S)-2-Amino-5-Guanidino-Pentanoyl]Amino]Propanoyl]Amino]-3-Methyl-Butanoyl]Amino]-3-Hydroxy-Propanoyl]Amino]-3-Methyl-Butanoyl]Amino]-4-Oxo-Butanoyl]Pyrrolidine-2-Carbonyl]
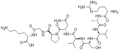
Molecular Structure CAS#: 92891-56-0, Igercine
Molecular Formula C39H70N14O12
Molecular Weight 927.07
CAS Registry Number 92891-56-0
SMILES [C@@H]1(N(CCC1)C(=O)[C@@H](NC(=O)[C@@H](NC(=O)[C@@H](NC(=O)[C@@H](NC(=O)[C@@H](NC(=O)[C@@H](N)CCCN=C(N)N)C)C(C)C)CO)C(C)C)CC(=O)N)C(=O)NCC(=O)N[C@@H](CCCCN)C(O)=O
InChI 1S/C39H70N14O12/c1-19(2)29(51-31(57)21(5)47-32(58)22(41)10-8-14-45-39(43)44)36(62)50-25(18-54)33(59)52-30(20(3)4)35(61)49-24(16-27(42)55)37(63)53-15-9-12-26(53)34(60)46-17-28(56)48-23(38(64)65)11-6-7-13-40/h19-26,29-30,54H,6-18,40-41H2,1-5H3,(H2,42,55)(H,
InChIKey FLRLYDYDLREVOO-QBUMULATSA-N
Properties
Density 1.485g/cm3 (Cal.)
Market Analysis Reports
Related Products
Ifenprodil Gluc...  Ifenprodil tart...  Ifflaiamine;(-)...  Iflab-Bb F1068-...  Ifosfamide-d4  Ifosfamide;N,3-...  Ifoxetine;(3R,4...  IG-105  Iganidipine;O3-...  Iganidipine hyd...  IGF-1 LR3  Ignavine;Hetisa...  Iguratimod;N-[7...  IHDA  Ikarugamycin;IK...  Ikshusterol;3be...  Ilaprazole;2-[[...  Ilatreotide;(4R...  H-L-Ile-Amc Tfa  L-Ile-4-(4-Amin...