Online Database of Chemicals from Around the World

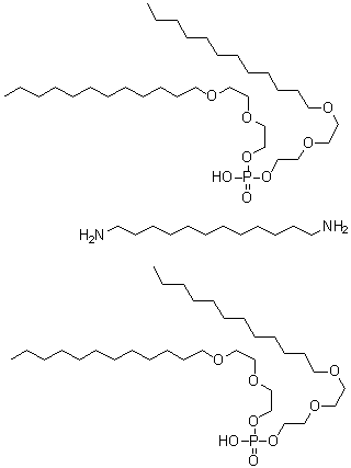
1,12-Dodecanediamine bis[bis[2-[2-(dodecyloxy)ethoxy]ethyl] phosphate]
[CAS 94108-72-2]

List of Suppliers
Alfa Chemistry USA
www.alfa-chemistry.com
+1 (201) 478-8534
+1 (516) 927-0118
inquiry@alfa-chemistry.com
Chemical distributor since 2012
chemBlink Standard supplier since 2012

Identification
Name1,12-Dodecanediamine bis[bis[2-[2-(dodecyloxy)ethoxy]ethyl] phosphate]
Molecular Structure1,12-Dodecanediamine bis[bis[2-[2-(dodecyloxy)ethoxy]ethyl] phosphate] molecular structure (CAS 94108-72-2)
Molecular Formula2(C32H67O8P).C12H28N2
Molecular Weight1422.05
CAS Registry Number94108-72-2
EC Number302-411-3
Market Analysis Reports
Related Products
Dodecanamine  Dodecane  (<Sup>2</Sup>H<...  Dodecane  Dodecane-1-14C  DODECANE  1,12-Dodecanebi...  Dodecanedial  Dodecanediamide  1,12-Dodecanedi...  1,12-Dodecanedi...  1,12-Dodecanedi...  1,12-Dodecanedi...  Dodecanedioic a...  Dodecanedioic A...  Dodecanedioic A...  Dodecanedioic A...  Dodecanedioic a...  Dodecanedioic A...  Dodecanedioic A...