Online Database of Chemicals from Around the World

1,3-(13C6)Benzenediol
[CAS 953390-31-3]

Suppliers
Alsachim SAS France
+33 (368) 240-080
contact@alsachim.com
Chemical manufacturer
Santa Cruz Biotechnology, Inc. USA
+1 (831) 457-3800
scbt@scbt.com
Chemical manufacturer
Identification
Name 1,3-(13C6)Benzenediol
Synonyms RESORCINOL-13C6
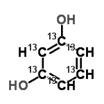
Molecular Structure CAS#: 953390-31-3, 1,3-(<sup>13</sup>C<sub>6</sub>)Benzenediol
Molecular Formula 13C6H6O2
Molecular Weight 116.07
CAS Registry Number 953390-31-3
SMILES c1cc(cc(c1)O)O
InChI 1S/C6H6O2/c7-5-2-1-3-6(8)4-5/h1-4,7-8H/i1+1,2+1,3+1,4+1,5+1,6+1
InChIKey GHMLBKRAJCXXBS-IDEBNGHGSA-N
Properties
Density 1.276g/cm3 (Cal.)
Refractive index 1.612 (Cal.)
Market Analysis Reports
Related Products
1,4-Benzenedime...  1,2-Benzenedime...  1,3-Benzenedime...  1,4-Benzenedime...  1,2-Benzenedime...  1,3-Benzenedime...  1,2-Benzenedime...  1,2-Benzene-3,4...  Benzene-1,2-Dio...  Benzene-1,4-Dio...  [1,2-Benzenedio...  1,2-Benzene-3,4...  1,3-Benzene-2,4...  1,4-Benzene-2,3...  1,3-Benzenediol...  1,4-Benzenediol...  1,3-Benzenediol...  1,4-Benzenediol...  1,2-Benzenediph...  1,4-Benzenedisu...