|
CAS#: 96304-96-0 Product: 3-Deoxy-5-O-Rhamnopyranosyl-2-Octulopyranosonate No suppilers available for the product. |
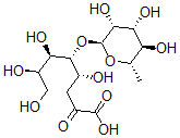
| Name | 3-Deoxy-5-O-Rhamnopyranosyl-2-Octulopyranosonate |
|---|---|
| Synonyms | (4R,5R,6R,7R)-4,6,7,8-Tetrahydroxy-2-Oxo-5-[(2S,3R,4R,5R,6S)-3,4,5-Trihydroxy-6-Methyl-Tetrahydropyran-2-Yl]Oxy-Octanoic Acid; (4R,5R,6R,7R)-4,6,7,8-Tetrahydroxy-2-Oxo-5-[[(2S,3R,4R,5R,6S)-3,4,5-Trihydroxy-6-Methyl-2-Tetrahydropyranyl]Oxy]Octanoic Acid; (4R |
| Molecular Structure | ![]() |
| Molecular Formula | C14H24O12 |
| Molecular Weight | 384.34 |
| CAS Registry Number | 96304-96-0 |
| SMILES | [C@H]1([C@@H]([C@H]([C@@H](O[C@H]1O[C@H]([C@H](O)CC(C(=O)O)=O)[C@H](O)[C@@H](CO)O)C)O)O)O |
| InChI | 1S/C14H24O12/c1-4-8(19)10(21)11(22)14(25-4)26-12(9(20)7(18)3-15)5(16)2-6(17)13(23)24/h4-5,7-12,14-16,18-22H,2-3H2,1H3,(H,23,24)/t4-,5+,7+,8-,9+,10+,11+,12+,14-/m0/s1 |
| InChIKey | YFRXDFPUOICSHU-SMLUSZEVSA-N |
| Market Analysis Reports |