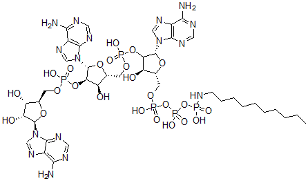
Identification
| Name |
P(1)-Adenylyl-5'-2'-Adenylyl-5'-2'-Adenosyl-P(3)-N-Decylaminotriphosphate |
| Synonyms |
[[[(2R,3R,5R)-5-(6-Aminopurin-9-Yl)-4-[[(2R,3R,4R,5R)-5-(6-Aminopurin-9-Yl)-4-[[(2R,3S,4R,5R)-5-(6-Aminopurin-9-Yl)-3,4-Dihydroxy-Tetrahydrofuran-2-Yl]Methoxy-Hydroxy-Phosphoryl]Oxy-3-Hydroxy-Tetrahydrofuran-2-Yl]Methoxy-Hydroxy-Phosphoryl]Oxy-3-Hydroxy-T |
|
| Molecular Structure |
 |
| Molecular Formula |
C40H61N16O24P5 |
| Molecular Weight |
1304.88 |
| CAS Registry Number |
96902-45-3 |
| SMILES |
[C@H]1(O[C@@H]([C@@H](O)[C@H]1O[P](OC[C@H]4O[C@@H]([N]3C2=NC=NC(=C2N=C3)N)[C@H](O)[C@@H]4O)(=O)O)CO[P](OC5[C@@H](O[C@@H]([C@H]5O)CO[P](O[P](O[P](=O)(O)NCCCCCCCCCC)(=O)O)(=O)O)[N]6C7=C(N=C6)C(=NC=N7)N)(=O)O)[N]8C9=C(N=C8)C(=NC=N9)N |
| InChI |
1S/C40H61N16O24P5/c1-2-3-4-5-6-7-8-9-10-53-81(61,62)79-85(69,70)80-84(67,68)73-13-22-28(59)31(40(76-22)56-19-52-25-34(43)46-16-49-37(25)56)78-83(65,66)72-12-21-27(58)30(39(75-21)55-18-51-24-33(42)45-15-48-36(24)55)77-82(63,64)71-11-20-26(57)29(60)38(74-20 |
| InChIKey |
DUHGULOUBZGUTH-HFSNTALBSA-N |
|