|
CAS#: 97067-70-4 Product: Dihematoporphyrin Ether No suppilers available for the product. |
| Name | Dihematoporphyrin Ether |
|---|---|
| Synonyms | Porfimer; 21H,23H-Porphine-2,18-Dipropanoic Acid, 7-(1-(1-(8,12-Bis(2-Carboxyethyl)-17-(1-Hydroxyethyl)-3,7,13,18-Tetramethyl-21H,23H-Porphin-2-Yl)Ethoxy)Ethyl)-12-(1-Hydroxyethyl)-3,8,13,17-Tetramethyl-; Dihematoporphyrin Ether |
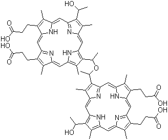
| Molecular Structure | ![]() |
| Molecular Formula | C68H74N8O11 |
| Molecular Weight | 1179.38 |
| CAS Registry Number | 97067-70-4 |
| SMILES | C(C1=C(C3=NC1=CC%10=NC(=CC2=C(C(=C([NH]2)C=C4[NH]C(=C3)C(=C4C)C(OC(C5=C7[NH]C(=C5C)C=C6N=C(C(=C6C)CCC(O)=O)C=C9N=C(C=C8[NH]C(=C7)C(=C8C(O)C)C)C(=C9CCC(O)=O)C)C)C)C(O)C)C)C(=C%10CCC(O)=O)C)C)CC(O)=O |
| InChI | 1S/C68H74N8O11/c1-29-41(13-17-61(79)80)53-28-56-44(16-20-64(85)86)32(4)48(72-56)24-59-68(36(8)52(76-59)25-58-65(37(9)77)33(5)49(73-58)21-45(29)69-53)40(12)87-39(11)67-35(7)50-22-46-30(2)42(14-18-62(81)82)54(70-46)27-55-43(15-19-63(83)84)31(3)47(71-55)23-5 |
| InChIKey | UZFPOOOQHWICKY-UHFFFAOYSA-N |
| Density | 1.326g/cm3 (Cal.) |
|---|---|
| Market Analysis Reports |