|
CAS#: 97068-12-7 Product: [[[5-[2,4-Dioxo-5-[(E)-3-[3-[2-[5-(7-Oxo-3-Thia-6,8-Diazabicyclo[3.3.0 ]Oct-2-Yl)Pentanoylamino]Ethyldisulfanyl]Propanoylamino]Prop-1-Enyl]Pyrimidin-1-Yl]-3-Hydroxy-Oxolan-2-Yl]Methoxy-Hydroxy-Phosphoryl]Oxy-Hydroxy-Phosphoryl]Oxyphosphonic Acid No suppilers available for the product. |
| Name | [[[5-[2,4-Dioxo-5-[(E)-3-[3-[2-[5-(7-Oxo-3-Thia-6,8-Diazabicyclo[3.3.0 ]Oct-2-Yl)Pentanoylamino]Ethyldisulfanyl]Propanoylamino]Prop-1-Enyl]Pyrimidin-1-Yl]-3-Hydroxy-Oxolan-2-Yl]Methoxy-Hydroxy-Phosphoryl]Oxy-Hydroxy-Phosphoryl]Oxyphosphonic Acid |
|---|---|
| Synonyms | [5-[2,4-Dioxo-5-[(E)-3-[3-[2-[5-(2-Oxo-1,3,3A,4,6,6A-Hexahydrothieno[3,4-D]Imidazol-6-Yl)Pentanoylamino]Ethyldisulfanyl]Propanoylamino]Prop-1-Enyl]Pyrimidin-1-Yl]-3-Hydroxy-Tetrahydrofuran-2-Yl]Methyl (Hydroxy-Phosphonooxy-Phosphoryl) Hydrogen Phosphate; [ |
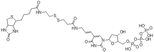
| Molecular Structure | ![]() |
| Molecular Formula | C27H43N6O17P3S3 |
| Molecular Weight | 912.77 |
| CAS Registry Number | 97068-12-7 |
| SMILES | C(O[P](O[P](O[P](=O)(O)O)(=O)O)(=O)O)C4OC(N1C(=O)NC(=O)C(=C1)\C=C\CNC(=O)CCSSCCNC(=O)CCCCC2SCC3NC(=O)NC23)CC4O |
| InChI | 1S/C27H43N6O17P3S3/c34-18-12-23(48-19(18)14-47-52(43,44)50-53(45,46)49-51(40,41)42)33-13-16(25(37)32-27(33)39)4-3-8-28-22(36)7-10-55-56-11-9-29-21(35)6-2-1-5-20-24-17(15-54-20)30-26(38)31-24/h3-4,13,17-20,23-24,34H,1-2,5-12,14-15H2,(H,28,36)(H,29,35)(H,43 |
| InChIKey | OWJRLHWTPUNEQA-ONEGZZNKSA-N |
| Density | 1.634g/cm3 (Cal.) |
|---|---|
| Market Analysis Reports |