Online Database of Chemicals from Around the World

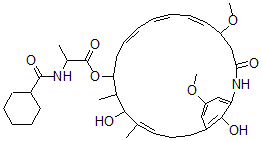
22-O-Methylmycotrienin II
[CAS 98873-82-6]

Suppliers
CAS#: 98873-82-6
Product: 22-O-Methylmycotrienin II
No suppilers available for the product.
Identification
Name 22-O-Methylmycotrienin II
Synonyms 2-[(Cyclohexyl-Oxomethyl)Amino]Propanoic Acid [(4E,10Z,12E,14E)-6,24-Dihydroxy-16,22-Dimethoxy-5,7-Dimethyl-18-Oxo-19-Azabicyclo[18.3.1]Tetracosa-1(24),4,10,12,14,20,22-Heptaen-8-Yl] Ester; 2-(Cyclohexanecarbonylamino)Propionic Acid [(4E,10Z,12E,14E)-6,24-
Molecular Structure CAS#: 98873-82-6, 22-O-Methylmycotrienin II
Molecular Formula C37H52N2O8
Molecular Weight 652.83
CAS Registry Number 98873-82-6
SMILES CC3C(OC(=O)C(NC(=O)C1CCCCC1)C)C\C=C/C=C/C=C/C(OC)CC(=O)NC2=CC(=CC(=C2O)CC\C=C(C3O)/C)OC
InChI 1S/C37H52N2O8/c1-24-15-14-18-28-21-30(46-5)22-31(35(28)42)39-33(40)23-29(45-4)19-12-7-6-8-13-20-32(25(2)34(24)41)47-37(44)26(3)38-36(43)27-16-10-9-11-17-27/h6-8,12-13,15,19,21-22,25-27,29,32,34,41-42H,9-11,14,16-18,20,23H2,1-5H3,(H,38,43)(H,39,40)/b7-6+,1
InChIKey PEANSLAKPSVOFU-AUESDOCQSA-N
Market Analysis Reports
Related Products
N-Methyl-1-[2-(...  N-Methyl-1-(1-m...  N-Methyl-N-[4-(...  N-Methyl-5-[4-(...  7-O-Methylmorro...  3-O-Methylmurra...  N-Methylmuscimo...  Methyl mycophen...  O-Methyl mycoph...  6-O-Methyl Myco...  4-O-Methyl-D-my...  6-Methyl Myosmi...  2-Methylmyristi...  2-Methylmyristi...  N-Methylnalorph...  Methylnaloxoniu...  Methylnaltrexon...  Methylnaltrexon...  N-Methyl-Naltri...  N-Methylnandige...