Online Database of Chemicals from Around the World

Epidermin
[CAS 99165-17-0]

Suppliers
CAS#: 99165-17-0
Product: Epidermin
No suppilers available for the product.
Identification
Name Epidermin
Synonyms Epidermin (Antibiotic)
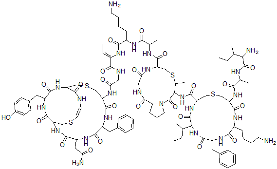
Molecular Structure CAS#: 99165-17-0, Epidermin
Molecular Formula C98H141N25O23S4
Molecular Weight 2165.59
CAS Registry Number 99165-17-0
SMILES C8=C(CC1C(NC(C(NC(CSCC(NC(C(NC(C(C(CC)C)N)=O)C)=O)C(NC(C(N1)=O)CCCCN)=O)C(=O)NC3C(C)SCC(NC(=O)CNC(=O)C2CCCN2C3=O)C(=O)NC(C)C(=O)NC(CCCCN)C(=O)NC(=C\C)/C(=O)NCC(=O)NC7CSCC5NC(=O)C(CC4=CC=C(O)C=C4)NC(=O)C(CS\C=C/NC5=O)NC(=O)C(CC(N)=O)NC(=O)C(CC6=CC=CC=C6)NC
InChI 1S/C98H141N25O23S4/c1-9-51(4)77(102)96(144)107-54(7)81(129)117-70-48-149-49-71(120-97(145)78(52(5)10-2)121-89(137)65(40-57-25-16-13-17-26-57)113-85(133)62(112-92(70)140)28-19-21-35-100)94(142)122-79-55(8)150-50-72(109-76(127)44-105-95(143)73-29-22-37-123(
InChIKey CXTXHTVXPMOOSW-HUCIVYLBSA-N
Market Analysis Reports
Related Products
4-Epicommunic a...  Epicorazine A;8...  Epicriptine;Epi...  Epicryptoacetal...  Epicurzerenone;...  3'-Epidaunorubi...  3-Epidehydropac...  6-Epidemethyles...  Epidermal growt...  Epidermal Growt...  2’-Epidihydroer...  25,26-Epidihydr...  8-Epidiosbulbin...  9alpha,13alpha-...  9,13-Epidioxy-8...  2,2'-Epidioxy-2...  (3beta(9Z,12Z),...  14,17-Epidioxy-...  6-Epidoxycyclin...  Epieriocalyxin ...