全球化学品在线数据库

乳糖酰基鞘糖脂 化学品安全技术说明书 (CAS 109785-20-8)

本页面提供 乳糖酰基鞘糖脂 (CAS 109785-20-8) 的化学品安全技术说明书 (SDS),包括危险性、急救措施、储存与操作要求等信息。用户可免费下载 SDS 文件用于实验室或工业参考。

产品概述

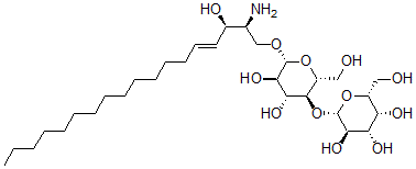
结构式 CAS# 109785-20-8, 乳糖酰基鞘糖脂
产品名称 乳糖酰基鞘糖脂
CAS 登录号 109785-20-8
分子式 C30H57NO12
分子量 623.78
乳糖酰基鞘糖脂的详细资料
 
资料来源 SDS 样本
Sigma-Aldrich
www.sigmaaldrich.com/catalog/Lookup.do?N5=All&N3=mode+matchpartialmax&N1=S_ID&ST=RS&N25=0&F=PR&D7=0&N4=109785-20-8
浏览或下载
Cayman
www.caymanchem.com/msdss/24867m.pdf
浏览或下载

免责声明

本页所列之化学品安全技术说明书样本系 chemBlink 公司搜集的互联网公开信息,仅用于指导化学品安全技术说明书的编辑与制作。chemBlink 竭诚提供可靠信息,然而不承诺其完备与准确。 阅读全文...



常见问题 (FAQ)
什么是 SDS?   如何下载 SDS?   SDS 是否免费?   SDS 和 MSDS 有什么区别?



相关化学品安全技术说明书
2-甲基-2-丙基[...   丙二腈   meso-四(五氟苯...   N,N-二乙基-2-...   3-羟基丙腈   4-溴-9-苯基-9...   ASP 3026   N-(12-氨基十二...   丁硫醇   预处理-促甲状腺激素...