| 产品概述 | |
| |
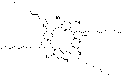
| 产品名称 | 2,8,14,20-四十一烷基五环[19.3.1.13,7.19,13.115,19]二十八碳-1(25),3(28),4,6,9(27),10,12,15(26),16,18,21,23-十二烯-4,6,10,12,16,18,22,24-八醇 |
| CAS 登录号 | 112247-07-1 |
| 分子式 | C72H112O8 |
| 分子量 | 1105.65 |
| 2,8,14,20-四十一烷基五环[19.3.1.13,7.19,13.115,19]二十八碳-1(25),3(28),4,6,9(27),10,12,15(26),16,18,21,23-十二烯-4,6,10,12,16,18,22,24-八醇的详细资料 | |
| 资料来源 | SDS 样本 |
| TCI www.spectrumchemical.com/MSDS/TCI-U0069.pdf |
浏览或下载 |
| Sigma-Aldrich www.sigmaaldrich.com/catalog/Lookup.do?N5=All&N3=mode+matchpartialmax&N1=S_ID&ST=RS&N25=0&F=PR&D7=0&N4=112247-07-1 |
浏览或下载 |
|
免责声明 本页所列之化学品安全技术说明书样本系 chemBlink 公司搜集的互联网公开信息,仅用于指导化学品安全技术说明书的编辑与制作。chemBlink 竭诚提供可靠信息,然而不承诺其完备与准确。 阅读全文... |
|