| 产品概述 | |
| |
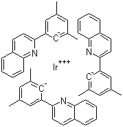
| 产品名称 | 三(2-(3,5-二甲基苯基)喹啉-C2,N')合铱(III) |
| CAS 登录号 | 1152418-56-8 |
| 分子式 | C51H42IrN3 |
| 分子量 | 889.13 |
| 三(2-(3,5-二甲基苯基)喹啉-C2,N')合铱(III)的详细资料 | |
| 资料来源 | SDS 样本 |
| Ambeed file.ambeed.com/static/upload/prosds/am/835/SDS-A834628.pdf |
浏览或下载 |
|
免责声明 本页所列之化学品安全技术说明书样本系 chemBlink 公司搜集的互联网公开信息,仅用于指导化学品安全技术说明书的编辑与制作。chemBlink 竭诚提供可靠信息,然而不承诺其完备与准确。 阅读全文... |
|