全球化学品在线数据库

钌红四水合物 化学品安全技术说明书 (CAS 12790-48-6)

本页面提供 钌红四水合物 (CAS 12790-48-6) 的化学品安全技术说明书 (SDS),包括危险性、急救措施、储存与操作要求等信息。用户可免费下载 SDS 文件用于实验室或工业参考。

产品概述

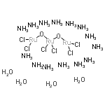
结构式 CAS# 12790-48-6, 钌红四水合物
产品名称 钌红四水合物
CAS 登录号 12790-48-6
分子式 H50Cl6N14O6Ru3
分子量 858.42
钌红四水合物的详细资料
 
资料来源 SDS 样本
Acros-Organics
www.acros.com/DesktopModules/Acros_Search_Results/Acros_Search_Results.aspx?search_type=CAS&SearchString=12790-48-6
浏览或下载

免责声明

本页所列之化学品安全技术说明书样本系 chemBlink 公司搜集的互联网公开信息,仅用于指导化学品安全技术说明书的编辑与制作。chemBlink 竭诚提供可靠信息,然而不承诺其完备与准确。 阅读全文...



常见问题 (FAQ)
什么是 SDS?   如何下载 SDS?   SDS 是否免费?   SDS 和 MSDS 有什么区别?



相关化学品安全技术说明书
氧化钛铁   八氯二丙醚   N-(6-羟基己基)...   (1R,3S)-3-...   ((3S,4S)-4...   (3E)-2-氨基-...   beta-蒎烯   (S)-4-氯-3-...   4-氨基-6-甲基-...   5-(4-氯苯基)恶...