全球化学品在线数据库

玛格斑蝎毒素 化学品安全技术说明书 (CAS 145808-47-5)

本页面提供 玛格斑蝎毒素 (CAS 145808-47-5) 的化学品安全技术说明书 (SDS),包括危险性、急救措施、储存与操作要求等信息。用户可免费下载 SDS 文件用于实验室或工业参考。

产品概述

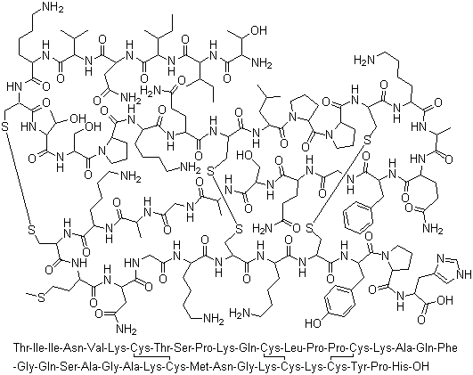
结构式 CAS# 145808-47-5, 玛格斑蝎毒素
产品名称 玛格斑蝎毒素
CAS 登录号 145808-47-5
分子式 C178H286N52O50S7
分子量 4178.97
玛格斑蝎毒素的详细资料
 
资料来源 SDS 样本
Alfa-Aesar
www.alfa.com/en/content/msds/USA/J61103.pdf
浏览或下载
Sigma-Aldrich
www.sigmaaldrich.com/catalog/Lookup.do?N5=All&N3=mode+matchpartialmax&N1=S_ID&ST=RS&N25=0&F=PR&D7=0&N4=145808-47-5
浏览或下载

免责声明

本页所列之化学品安全技术说明书样本系 chemBlink 公司搜集的互联网公开信息,仅用于指导化学品安全技术说明书的编辑与制作。chemBlink 竭诚提供可靠信息,然而不承诺其完备与准确。 阅读全文...



常见问题 (FAQ)
什么是 SDS?   如何下载 SDS?   SDS 是否免费?   SDS 和 MSDS 有什么区别?



相关化学品安全技术说明书
3,5-二氨基-6-...   1-(2-氯苯基)-...   N-(2-氯苯基)氨...   2-(2,5-二氯苯...   3-氨基-6-氯吡嗪...   4-氯苯肼硫酸盐   3-氨基-6-碘吡嗪...   3-氨基-5,6-二...   4-甲氧基苯基...   盐酸噻加宾