全球化学品在线数据库

2-[3-[1-[6-[(2,5-二氧代-1-吡咯烷基)氧基]-6-氧代己基]-1,3-二氢-3,3-二甲基-5-磺基-2H-吲哚-2-亚基]-1-丙烯-1-基]-1-乙基-3,3-二甲基-5-磺基-3H-吲哚鎓内盐 化学品安全技术说明书 (CAS 146368-16-3)

本页面提供 2-[3-[1-[6-[(2,5-二氧代-1-吡咯烷基)氧基]-6-氧代己基]-1,3-二氢-3,3-二甲基-5-磺基-2H-吲哚-2-亚基]-1-丙烯-1-基]-1-乙基-3,3-二甲基-5-磺基-3H-吲哚鎓内盐 (CAS 146368-16-3) 的化学品安全技术说明书 (SDS),包括危险性、急救措施、储存与操作要求等信息。用户可免费下载 SDS 文件用于实验室或工业参考。

产品概述

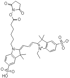
结构式 CAS# 146368-16-3, 2-[3-[1-[6-[(2,5-二氧代-1-吡咯烷基)氧基]-6-氧代己基]-1,3-二氢-3,3-二甲基-5-磺基-2H-吲哚-2-亚基]-1-丙烯-1-基]-1-乙基-3,3-二甲基-5-磺基-3H-吲哚鎓内盐
产品名称 2-[3-[1-[6-[(2,5-二氧代-1-吡咯烷基)氧基]-6-氧代己基]-1,3-二氢-3,3-二甲基-5-磺基-2H-吲哚-2-亚基]-1-丙烯-1-基]-1-乙基-3,3-二甲基-5-磺基-3H-吲哚鎓内盐
CAS 登录号 146368-16-3
分子式 C35H41N3O10S2
分子量 727.85
2-[3-[1-[6-[(2,5-二氧代-1-吡咯烷基)氧基]-6-氧代己基]-1,3-二氢-3,3-二甲基-5-磺基-2H-吲哚-2-亚基]-1-丙烯-1-基]-1-乙基-3,3-二甲基-5-磺基-3H-吲哚鎓内盐的详细资料
 
资料来源 SDS 样本
Ambeed
file.ambeed.com/static/upload/prosds/am/949/SDS-A948587.pdf
浏览或下载

免责声明

本页所列之化学品安全技术说明书样本系 chemBlink 公司搜集的互联网公开信息,仅用于指导化学品安全技术说明书的编辑与制作。chemBlink 竭诚提供可靠信息,然而不承诺其完备与准确。 阅读全文...



常见问题 (FAQ)
什么是 SDS?   如何下载 SDS?   SDS 是否免费?   SDS 和 MSDS 有什么区别?



相关化学品安全技术说明书
3,5-二甲基-1H...   1-(5-羧基戊基)...   2-[3-[1-(5...   Fluorolink...   Cy 5   1-[(2-乙基己基...   2,5-二(氯甲基)...   3,7-二甲基-1H...   四苯基硼酸铵   叔丁基亚磺酰胺