全球化学品在线数据库

(1R)-4-叠氮基-1-羧基-1-丁烷铵氯化物 化学品安全技术说明书 (CAS 156463-09-1)

本页面提供 (1R)-4-叠氮基-1-羧基-1-丁烷铵氯化物 (CAS 156463-09-1) 的化学品安全技术说明书 (SDS),包括危险性、急救措施、储存与操作要求等信息。用户可免费下载 SDS 文件用于实验室或工业参考。

产品概述

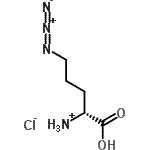
结构式 CAS# 156463-09-1, (1R)-4-叠氮基-1-羧基-1-丁烷铵氯化物
产品名称 (1R)-4-叠氮基-1-羧基-1-丁烷铵氯化物
CAS 登录号 156463-09-1
分子式 C5H12ClN4O2
分子量 194.62
(1R)-4-叠氮基-1-羧基-1-丁烷铵氯化物的详细资料
 
资料来源 SDS 样本
Carl-Roth
www.carlroth.com/downloads/sdb/en/7/SDB_7859_GB_EN.pdf
浏览或下载

免责声明

本页所列之化学品安全技术说明书样本系 chemBlink 公司搜集的互联网公开信息,仅用于指导化学品安全技术说明书的编辑与制作。chemBlink 竭诚提供可靠信息,然而不承诺其完备与准确。 阅读全文...



常见问题 (FAQ)
什么是 SDS?   如何下载 SDS?   SDS 是否免费?   SDS 和 MSDS 有什么区别?



相关化学品安全技术说明书
6-乙氧基-2-甲基...   2,6,8-三甲基-...   苯基(9-蒽基)甲酮   达泊西汀羟基杂质   5-溴-7-甲基-1...   4-氨基-1,2,5...   9-溴蒽   4-(乙氧基亚甲基)...   alpha-芋螺毒素...   4-苯基吡咯烷-3-...