| 产品概述 | |
| |
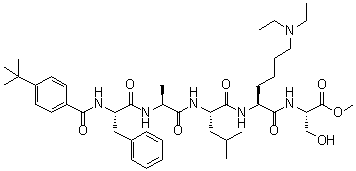
| 产品名称 | N-[4-(叔丁基)苯甲酰基]-L-苯丙氨酰-L-丙氨酰-L-亮氨酰-N6,N6-二乙基-L-赖氨酰-L-丝氨酸甲酯 |
| CAS 登录号 | 1872382-47-2 |
| 分子式 | C43H66N6O8 |
| 分子量 | 795.02 |
| N-[4-(叔丁基)苯甲酰基]-L-苯丙氨酰-L-丙氨酰-L-亮氨酰-N6,N6-二乙基-L-赖氨酰-L-丝氨酸甲酯的详细资料 | |
| 资料来源 | SDS 样本 |
| Cayman www.caymanchem.com/msdss/19237m.pdf |
浏览或下载 |
|
免责声明 本页所列之化学品安全技术说明书样本系 chemBlink 公司搜集的互联网公开信息,仅用于指导化学品安全技术说明书的编辑与制作。chemBlink 竭诚提供可靠信息,然而不承诺其完备与准确。 阅读全文... |
|