全球化学品在线数据库

二(四丁基铵) 顺式-双(异硫氰基)双(2,2'-联吡啶-4,4'-二羧酸)钌(II) 化学品安全技术说明书 (CAS 207347-46-4)

本页面提供 二(四丁基铵) 顺式-双(异硫氰基)双(2,2'-联吡啶-4,4'-二羧酸)钌(II) (CAS 207347-46-4) 的化学品安全技术说明书 (SDS),包括危险性、急救措施、储存与操作要求等信息。用户可免费下载 SDS 文件用于实验室或工业参考。

产品概述

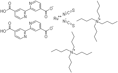
结构式 CAS# 207347-46-4, 二(四丁基铵) 顺式-双(异硫氰基)双(2,2'-联吡啶-4,4'-二羧酸)钌(II)
产品名称 二(四丁基铵) 顺式-双(异硫氰基)双(2,2'-联吡啶-4,4'-二羧酸)钌(II)
CAS 登录号 207347-46-4
分子式 C58H86N8O8RuS2
分子量 1188.55
二(四丁基铵) 顺式-双(异硫氰基)双(2,2'-联吡啶-4,4'-二羧酸)钌(II)的详细资料
 
资料来源 SDS 样本
Sigma-Aldrich
www.sigmaaldrich.com/catalog/Lookup.do?N5=All&N3=mode+matchpartialmax&N1=S_ID&ST=RS&N25=0&F=PR&D7=0&N4=207347-46-4
浏览或下载
TCI
www.spectrumchemical.com/MSDS/TCI-B3514.pdf
浏览或下载

免责声明

本页所列之化学品安全技术说明书样本系 chemBlink 公司搜集的互联网公开信息,仅用于指导化学品安全技术说明书的编辑与制作。chemBlink 竭诚提供可靠信息,然而不承诺其完备与准确。 阅读全文...



常见问题 (FAQ)
什么是 SDS?   如何下载 SDS?   SDS 是否免费?   SDS 和 MSDS 有什么区别?



相关化学品安全技术说明书
N2,N2-二乙基-...   (2R,3S,4S,...   1,8-双二甲氨基萘   2-氨基-4,5-二...   3-甲氧基-6-甲基...   2-氨基-4-甲氧基...   1-苯基-2-丁胺盐...   柴胡皂苷 C   柴胡皂苷 A   4-羟基-3,5-二...