全球化学品在线数据库

2-甲基-2-丙基4-(N-羟基甲脒基)-1-哌啶羧酸酯 化学品安全技术说明书 (CAS 280110-63-6)

本页面提供 2-甲基-2-丙基4-(N-羟基甲脒基)-1-哌啶羧酸酯 (CAS 280110-63-6) 的化学品安全技术说明书 (SDS),包括危险性、急救措施、储存与操作要求等信息。用户可免费下载 SDS 文件用于实验室或工业参考。

产品概述

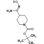
结构式 CAS# 280110-63-6, 2-甲基-2-丙基4-(N-羟基甲脒基)-1-哌啶羧酸酯
产品名称 2-甲基-2-丙基4-(N-羟基甲脒基)-1-哌啶羧酸酯
CAS 登录号 280110-63-6
分子式 C11H21N3O3
分子量 243.30
2-甲基-2-丙基4-(N-羟基甲脒基)-1-哌啶羧酸酯的详细资料
 
资料来源 SDS 样本
Oakwood
www.oakwoodchemical.com/ShowMSDS.aspx?Number=316422
浏览或下载
Matrix
www.matrixscientific.com/media/msds/12/89/63/MxMSDS_128963.pdf
浏览或下载
Apollo
www.apolloscientific.co.uk/downloads/msds/OR346057_msds.pdf
浏览或下载

免责声明

本页所列之化学品安全技术说明书样本系 chemBlink 公司搜集的互联网公开信息,仅用于指导化学品安全技术说明书的编辑与制作。chemBlink 竭诚提供可靠信息,然而不承诺其完备与准确。 阅读全文...



常见问题 (FAQ)
什么是 SDS?   如何下载 SDS?   SDS 是否免费?   SDS 和 MSDS 有什么区别?



相关化学品安全技术说明书
5-(3,4-二氯苯...   8-Azabicyc...   溴酚红   乙酸锡(IV)   1,3-丙酮二羧酸二...   4-(5-苯基-1,...   2-(2,6-二氟-...   4-[2-(叔丁氧羰...   2-丁基氨基-5-溴...   N-苄基-5-溴-2...