| 产品概述 | |
| |
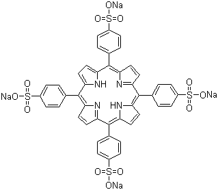
| 产品名称 | 21H,23H-卟啉-5,10,15,20-四对苯磺酸钠 |
| CAS 登录号 | 39050-26-5 |
| 分子式 | C44H26N4O12S4.4Na |
| 分子量 | 1022.91 |
| 21H,23H-卟啉-5,10,15,20-四对苯磺酸钠的详细资料 | |
| 资料来源 | SDS 样本 |
| Strem www.strem.com/uploads/sds/sd07-2340_US.pdf |
浏览或下载 |
|
免责声明 本页所列之化学品安全技术说明书样本系 chemBlink 公司搜集的互联网公开信息,仅用于指导化学品安全技术说明书的编辑与制作。chemBlink 竭诚提供可靠信息,然而不承诺其完备与准确。 阅读全文... |
|