全球化学品在线数据库

叶绿素 B 化学品安全技术说明书 (CAS 519-62-0)

本页面提供 叶绿素 B (CAS 519-62-0) 的化学品安全技术说明书 (SDS),包括危险性、急救措施、储存与操作要求等信息。用户可免费下载 SDS 文件用于实验室或工业参考。

产品概述

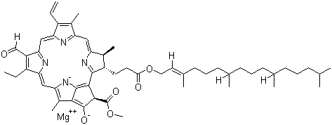
结构式 CAS# 519-62-0, 叶绿素 B
产品名称 叶绿素 B
CAS 登录号 519-62-0
分子式 C55H70MgN4O6
分子量 907.47
叶绿素 B的详细资料
 
资料来源 SDS 样本
Sigma-Aldrich
www.sigmaaldrich.com/catalog/Lookup.do?N5=All&N3=mode+matchpartialmax&N1=S_ID&ST=RS&N25=0&F=PR&D7=0&N4=519-62-0
浏览或下载
Carl-Roth
www.carlroth.com/downloads/sdb/en/6/SDB_6365_GB_EN.pdf
浏览或下载

免责声明

本页所列之化学品安全技术说明书样本系 chemBlink 公司搜集的互联网公开信息,仅用于指导化学品安全技术说明书的编辑与制作。chemBlink 竭诚提供可靠信息,然而不承诺其完备与准确。 阅读全文...



常见问题 (FAQ)
什么是 SDS?   如何下载 SDS?   SDS 是否免费?   SDS 和 MSDS 有什么区别?



相关化学品安全技术说明书
碳酸钡(碳13)   硫赭曲菌素   4-氯-5-甲基嘧啶   4-(2,4-二特戊...   3-甲基-5-乙烯基...   1,3-二氢-6-甲...   (7S,9E,11S...   磷酸腺苷钠   2,5-二乙氧基-4...   3-(3-羟基苯基)...