全球化学品在线数据库

羟丙基甲基纤维素 化学品安全技术说明书 (CAS 9004-65-3)

本页面提供 羟丙基甲基纤维素 (CAS 9004-65-3) 的化学品安全技术说明书 (SDS),包括危险性、急救措施、储存与操作要求等信息。用户可免费下载 SDS 文件用于实验室或工业参考。

产品概述

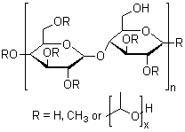
结构式 CAS# 9004-65-3, 羟丙基甲基纤维素
产品名称 羟丙基甲基纤维素
CAS 登录号 9004-65-3
分子量 ~86000
羟丙基甲基纤维素的详细资料
 
资料来源 SDS 样本
Alfa-Aesar
www.alfa.com/en/content/msds/USA/44779.pdf
浏览或下载
Sigma-Aldrich
www.sigmaaldrich.com/catalog/Lookup.do?N5=All&N3=mode+matchpartialmax&N1=S_ID&ST=RS&N25=0&F=PR&D7=0&N4=9004-65-3
浏览或下载
Acros-Organics
www.acros.com/DesktopModules/Acros_Search_Results/Acros_Search_Results.aspx?search_type=CAS&SearchString=9004-65-3
浏览或下载

免责声明

本页所列之化学品安全技术说明书样本系 chemBlink 公司搜集的互联网公开信息,仅用于指导化学品安全技术说明书的编辑与制作。chemBlink 竭诚提供可靠信息,然而不承诺其完备与准确。 阅读全文...



常见问题 (FAQ)
什么是 SDS?   如何下载 SDS?   SDS 是否免费?   SDS 和 MSDS 有什么区别?



相关化学品安全技术说明书
匙羹藤提取物   乙基纤维素   透明质酸   羟乙基纤维素   羟丙基纤维素   葡聚糖铁   甲基纤维素   硝酸纤维素   聚甲基聚硅氧烷   聚乙二醇单甲醚